V stat'e analiziruyutsya tri perioda razvitiya ekonomiki ES, v seredine kotoryh v ES vstupala gruppa stran i issleduetsya vliyanie integracii evropeyskih stran na izmenenie effektivnosti ih ekonomiki. Stroyatsya proizvodstvennye funkcii, i analiziruetsya izmenenie ih parametrov posle vstupleniya novyh stran. Pokazano, chto integraciya polozhitel'no vliyaet na effektivnost' vstupayuschih v ES stran, no sblizhenie ih harakteristik proishodit medlenno i zavisit ot provodimoy ekonomicheskoy politiki. Naibolee bystro rosla effektivnost' vlozheniy v ekonomiku stran Vostochnoy Evropy v processe ih vstupleniya v ES.
Evropeyskiy Soyuz, integraciya, proizvodstvennaya funkciya, effektivnost', agregirovanie, investicii.
Введение.
В статье проводится сравнительный анализ динамики показателей эффективности стран ЕС в ходе его расширения. На основе математических моделей оценивается, как изменились параметры эффективности ЕС в целом, отдельных стран. Вступление в ЕС создает новые возможности для развития, увеличивается объем доступных рынков («создание торговли»), расширяется доступ новых стран к ресурсам, прежде всего новым технологиям. Для более развитых стран – членов ЕС расширяются возможности поставок своей продукции в присоединившиеся страны, но одновременно часть производств переносится в менее развитые страны с более дешевыми ресурсами. Для вступивших менее развитых стран, кроме притока инвестиций и создания предприятий с более современными технологиями, возникают две проблемы – миграция в более развитые страны (население Литвы и Латвии уменьшилось примерно на четверть) и закрытие части предприятий. Особый случай – вступление развитых стран, таких как Финляндия и Швеция, которые имеют более сложные природно-климатические условия для развития экономики. Исследования показали конвергенцию стран ЕС по большинству показателей, но не всех стран и не по всем показателям [1, 2].
Ранее анализировались влияние интеграции на производительность труда, фондовооруженность и динамику безработицы, а также взаимосвязь производительности труда и уровня безработицы [2, 3]. В данной статье основное внимание уделено эффективности вложений инвестиций. Исследование основано на построении производственных функций двух уровней – ЕС в целом и секторов, объединяющих близкие по своим социально-экономическим показателям и времени вступления в ЕС страны. Анализируется изменение параметров производственных функций и факторной эластичности. Построение производственных функций позволяет получать количественные и качественные оценки происходящих экономических процессов [4, 5, 6].
Исследование двух уровней экономики связано с проблемой агрегирования производственных функций, которая вызывает достаточно много споров, существуют определенные ограничения, но агрегирование предоставляет новые возможности для экономического анализа. Детально вопрос рассматривается в обзорных статьях, представляющих разные точки зрения [7]. Существуют также разные подходы к декомпозиции для оценки влияния разных секторов на агрегированную функцию [8].
К настоящему времени разработаны методики выявления различия в эффективности на основе факторной эластичности, в частности проводились исследования на данных промышленных фирм S&P 500 [9]. Исследование по данным ЕС на основе производственных функций Кобба–Дугласа показало, как влияют различные факторы, связанные с технологиями, на параметры производственных функций [10]. По данным Польши строились функции Кобба–Дугласа и анализировалось взаимодействие показателей, в частности иностранных инвестиций, их влияние на эффективность развития экономики [11]. Также детально рассматривалось различие США и ЕС в поддержке различных секторов экономики, влияние информационно-телекоммуникационных технологий и перетока технологий в данной сфере [12].
Использованию производственных функций для анализа развития экономики посвящены работы российских ученых. По мере становления рыночной экономики усиливаются связи регионов и возникают эффекты, близкие к интеграционным. Проводилось исследование влияния распределения инвестиций на конвергенцию регионов, было показано, что их перераспределение для снижения межрегиональной дифференциации приводило к снижению темпов роста экономики [13]. Соответственно их распределение с точки зрения максимальной эффективности достигалось при вложении их в московскую экономику, как наиболее эффективную. Также производственные функции использовались для анализа связи фондовооруженности и производительности труда российских регионов. На данных дальневосточных регионов было отмечено снижение эластичности по фондам [14]. На основе производственных функций также проводились расчеты вклада интенсивных факторов в развитие экономики РФ и регионов [15]. Исследование эффективности инвестиций в российскую экономику и экономику регионов показало ее снижение в течение периода роста с начала 2000-х годов [16].
Исследование процессов интеграции проводилось на материалах разных стран и регионов. Интеграция стран Тихоокеанского региона за 25 лет исследовалась на основе производственных функций, результаты расчетов привели к различающимся значениям эластичности по фондам у стран региона, причем минимальное значение оказалось у Сингапура с достаточно эффективной экономикой [17]. В то же время при исследовании экономики Китая и оценке региональных различий эластичности по фондам было получено, что максимальная была у наиболее развитых провинций [18].
Значительное внимание уделялось совокупной факторной производительности, оценке влияния на нее различных факторов, в частности иностранных инвестиций и связанных с ними новых технологий, а также структурных сдвигов. На данных по Италии на основе совокупной факторной производительности анализировалось влияние технологий на динамику выпуска [19]. Детально влияние иностранных инвестиций и иностранных технологий рассматривалось на основе совокупной факторной производительности на данных 55 развивающихся стран [20].
В данной статье рассматривается иной подход к исследованию влияния структурных сдвигов на эффективность развития экономики, позволяющий получить новые для экономики результаты. Ранее он использовался для анализа развития российской экономики, для оценки влияния развития новых эффективных секторов [3].
Методика и данные
В статье анализируются процессы, связанные с расширением в ЕС с 1975 по 2014 г., после вступления Великобритании, Ирландии и Дании (далее в тексте – страны-последователи). Несколько стран вступили в ЕС в 1986 г. (Португалия и Испания, вместе далее с ними рассматривается вступившая несколько ранее Греция), в 1995 г. (вступили северные Финляндия, Швеция, а также Австрия), в 2004 г. (вступили десять стран Восточной Европы) и в 2007 г. (вступили Румыния и Болгария, которые далее рассматриваются вместе с остальными странами Восточной Европы). Кроме того, в 1981 г. в ЕС вступила Греция, в 2013 г. – Хорватия.
Для оценки влияния вступления новых стран на динамику социально-экономических показателей рассматривалось три периода, в середине которых вступала очередная группа стран. Период определялся от момента вступления предыдущей группы стран до вступления третьей группы стран. В итоге получилось три пересекающихся периода: 1975–1994 гг., 1986–2003 гг. и 1994–2014 гг. Анализ динамики и взаимосвязи показателей внутри каждого периода позволял оценить, какие изменения произошли после вступления очередной группы стран. Надо отметить, что до официального вступления начинается процесс приведения законодательства, норм и правил к стандартам ЕС. Подход к оценке интеграции и основные методики и модели анализа данных были предложены ранее [2]
В ходе анализа динамики основных показателей ЕС в целом и отдельных стран строились графики основных и производных экономических показателей и их взаимосвязи. На основе этого анализа формировались секторы из близких по показателям эффективности и времени вступления стран, определялось влияние отдельных секторов и структурных сдвигов на динамику показателей эффективности. Строились производственные функции и проводились расчеты, чтобы определить, способствует ли более тесная интеграция сближению стран по показателям эффективности, как изменились показатели эффективности старых и новых стран после их вступления в ЕС. По временным, пространственным и панельным данным рассчитывались мультипликативные производственные функции.
Основным источником данных была база данных Евростата, в разделе «экономика и финансы» содержатся таблицы по всем странам за выбранный период за небольшим исключением [21]. Недостающая информация была получена из сборников Eurostat Yearbook и баз данных Всемирного банка [22, 23]. Были собраны данные по 27 странам ЕС без учета Хорватии, которая вступила в ЕС в 2013 г., и оценить эффект интеграции по статистическим данным пока невозможно.
Для расчетов использовались следующие показатели валовой внутренний продукт (ВВП), численность занятых и инвестиции. По ВВП за базовый год взяты данные 2010 г., в расчетах использовались индексы и данные в ценах 2010 г. По инвестициям за базовый год взяты данные 2010 г., в расчетах использовались индексы и данные в ценах 2010 г. В расчетах использовались данные по кумулятивным инвестициям за пять лет, соответственно фондовооруженность считалась как отношение суммы инвестиций за пять лет – текущий и четыре предыдущих – к численности занятых в текущем году. Производительность труда считалась по ВВП и численности занятых.
В первом периоде данные по ЕС включают данные всех 12 стран, т.е. в 1975–1985 гг. суммируются данные 9 стран – членов ЕС и трех стран-кандидатов (Греции, Испании и Португалии) по ВВП, инвестициям и занятости. Во втором периоде данные по ЕС включают данные 15 стран, т.е. в 1986–1993 гг. суммируются данные 12 стран – членов ЕС и трех стран-кандидатов (Австрии, Финляндии и Швеции). В третьем периоде данные по ЕС включают данные 27 стран, т.е. в 1994–2003 гг. суммируются данные 15 стран – членов ЕС и 12 стран-кандидатов, в 2004–2006 гг. суммируются данные 25 стран – членов ЕС, Болгарии и Румынии. Таким образом, в каждом периоде расчеты проводятся по неизменному количеству стран.
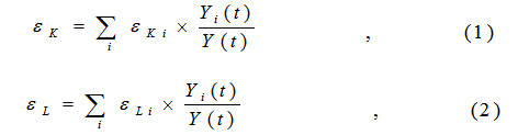
Прежде всего анализируется динамика эластичности по фондам, которая показывает, как процентов вырастет ВВП при росте основных фондов на 1% (в данном случае – кумулятивных инвестиций). Факторная эластичность двух уровней связана следующими соотношениями [3]:

где: Y – ВВП; eK – эластичность по фондам; eL – эластичность по труду; i – индекс сектора.
По формуле (1) можно вычислить влияние отдельных секторов на изменение факторной эластичности eK , которое определяется удельным весом сектора по ВВП и изменением секторной факторной эластичности. Для определения факторной эластичности существует два подхода. В первом строились производственные функции, и из них определялась динамика эластичности. Во втором подходе строились приближенные оценки динамики факторной эластичности. Линейно-однородные производственные функции можно записать через логарифмические производные:

где: p – темп нейтрального технического прогресса;
логарифмические производные; K(t) – кумулятивные инвестиции за несколько последних лет (в расчетах был взят пятилетний период); L(t) – занятые в год t. Тогда эластичность по фондам при нулевом темпе нейтрального технического прогресса выражается через отношение разности логарифмических производных:

Переходя к приростам показателей по сглаженным данным, получаем следующее соотношение, которое позволяет приближенно оценить динамику эластичности:

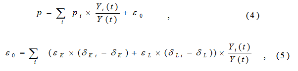
Данная методика также позволяет рассчитать вклад структурных сдвигов в темп роста ВВП. Для оценки влияния структурных сдвигов использовались полученные ранее соотношения, связывающие нейтральный технический прогресс с параметрами производственной функции [3]:

где e0 – влияние структурных сдвигов.
Для оценки влияния интеграции рассчитывались мультипликативные производственные функции, однородные (6) и неоднородные (7), причем однородные представляют зависимость производительности труда от фондовооруженности:

где: A, B – константы; yi(t) – производительность труда в секторе i в год t; ki(t) – фондовооруженность в секторе i год t; α, β, δ – константы.
Исследовалась зависимость производительности труда от фондовооруженности по ЕС, отдельным странам и секторам. Расчеты проводились по пространственным и панельным данным. В последнем случае приходилось вводить фиктивные переменные, поскольку по мере расширения ЕС в нее включались все менее эффективные страны.
Расчеты по функциям (6) и (7) проводились по каждому периоду в целом и по двум подпериодам (до и после расширения). Для определения влияния расширения ЕС на эффективность вложений в сектор сравнивались результаты расчетов за первую и вторую части рассматриваемого периода. Из-за экономических кризисов подобное сравнение не всегда возможно и оценки за короткий период оказываются не значимыми, тогда по секторам и ЕС в целом анализировалась динамика эластичности за весь период. Поэтому кроме функций Кобба–Дугласа, учитывая результаты анализа графиков, строились простые VES-функции на основе производственной функции Кобба–Дугласа, в которых факторная эластичность зависит от времени, кумулятивных инвестиций или других показателей. Тогда анализировалась динамика эластичности во всем периоде и после вступления новых стран:

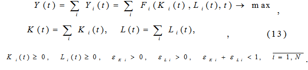
Полученные параметры производственных функций секторов также использовались для расчета оптимального распределения ресурсов между секторами. Оптимальная структура определялась на основе модели, построенной для двух уровней, описываемых производственными функциями, в которой использованы простейшие ограничения по основным параметрам. Для максимизации ВВП задача выглядит следующим образом [2, 3]:

Для производственных функций (7) оптимальное распределение находится последовательным решением нескольких нелинейных уравнений стандартными методами. Если принять, что функции имеют одинаковую степень однородности, то система преобразуется в нелинейное уравнение относительно соотношения показателей. Модель (13) может рассматриваться при различных ограничениях на ресурсы, например при условии, что структура занятости не меняется, а перераспределяться могут только инвестиции. В данном случае фактически проверяется, насколько оптимально распределены инвестиции между секторами, ответ на этот вопрос дает динамика разницы объемов производства при реальном и оптимальном распределении инвестиций.
Результаты расчетов
В первом периоде серьезное влияние на динамику показателей и их взаимосвязь оказали экономические кризисы. Особенно нестабильна была первая часть периода, кризис 1974–1975 гг. был связан с нефтяным кризисом. Второй произошел в 1980–1982 гг. и также был частично связан с новым нефтяным кризисом. Влияние рецессии 1990–1992 гг. оказалось не столь существенным. Рост производительности труда до середины периода фактически происходил при слабоменяющейся фондовооруженности, объем инвестиций в отдельные годы падал, а производительность труда немного увеличивалась, поскольку падение ВВП было меньше, чем занятости (рис. 1). В результате расчеты производственных функций по первому подпериоду не привели к успеху, значимые результаты удалось получить лишь за период в целом и его вторую часть.

График зависимости производительности труда от фондовооруженности показывает, что кривые имеют похожую тенденцию, они почти продолжают друг друга (рис. 1). Анализ графиков показал, что зависимость производительности труда от фондовооруженности хорошо описывается функцией (6) с фиктивной переменной для стран-последователей, имеющих более высокую эффективность. Расчеты показали достаточно высокую эластичность – 0,894 и хорошие статистические характеристики (коэффициент детерминации R2=0,90) даже при одной фиктивной переменной. Расчеты однородной функции в целом по ЕС также показали высокую эластичность по фондам (табл. 1).
После вступления южных стран (Греции, Испании и Португалии) эластичность по фондам, рассчитанная по формуле (3), была достаточно высокой – от 0,8 до 0,9 для стран-основателей, чуть меньше – для стран-последователей и от 0,6 до 0,65 для южных стран. И соответственно расчеты по формуле (1) показали, что динамика и величина эластичности по фондам определяется странами-основателями – более 80%, причем доля Германии – треть. Структура экономики ЕС в этот период практически не изменилась, вклад структурных сдвигов в рост экономики незначителен.
Расчеты функции Кобба–Дугласа за весь период проводились при ненулевом нейтральном техническом прогрессе, иначе учесть особенности первого периода невозможно (табл. 1). Нейтральный технический прогресс оказался для всех секторов достаточно близким. Эластичность по фондам наиболее высокой оказалась у Франции, несколько ниже у прочих стран-основателей (Италия, Нидерланды, Бельгия и Люксембург) и стран-последователей. Самая низкая эластичность – у южных стран. Положительный темп нейтрального технического прогресса для всех секторов и ЕС в целом говорит о росте эффективности во втором подпериоде, что неудивительно при экономических проблемах первого подпериода. У вступивших в ЕС южных стран выше темп нейтрального технического прогресса, что, видимо, говорит о более заметном росте их эффективности.
Низкая значимость параметра β для Германии в расчетах по функции (7) привела к необходимости проводить расчеты по другим функциям. Расчеты по функции (8) показали, что эластичность по фондам в Германии была высокой и незначительно выросла, от 0,.93 до 0,94 при нулевом темпе технического прогресса.
Для определения оптимального распределения строились производственные функции с ограничением на сумму факторной эластичности, она должна быть меньше 1, в данном случае – 0,95. Наиболее эффективной оказалась экономика Германии, немного ей уступали другие страны-основатели, наименее эффективны южные страны. Проводившиеся расчеты по оптимизационной модели (13) показали, что в первом периоде существует некоторое движение реального распределения инвестиций к оптимальному.
По первому периоду можно сказать о положительном влиянии интеграции. Наибольшая эффективность вложений была у стран, вступивших в ЕС перед началом периода (стран-последователей), растет эффективность южных стран, вступивших в ЕС в середине данного периода, хотя их эффективность наименьшая.
Второй период прошел более спокойно, хотя были рецессии 1990–1992 и 1995 г., азиатский кризис 1997–1998 гг. (рис. 2). Эффективность вложений, определяемая по формуле (3), росла лишь у стран-последователей и была высокой и стабильной в Германии. В среднем эластичность по фондам была у последователей 0,95, у Германии – 0,.93. У вступивших в этом периоде в ЕС северных стран эластичность была стабильной, хотя и более низкой, примерно 0,6–0,7. Заметно снижалась эластичность у пяти стран-основателей и южных стран, в среднем составила 0,57 и 0,55 соответственно. Расчеты по формуле (1) показали, что определяющее влияние на динамику и величину эластичности по фондам экономики ЕС стран-основателей сохранилось, хотя и заметно уменьшилось – примерно 65%, причем доля Германии – более трети. Несмотря на заметные структурные сдвиги, их влияние было незначительным, хотя и отрицательным. В структуре экономики страны-последователи вытесняли близкую по эффективности Германию, а южные страны – страны-основатели.

Графики зависимости производительности труда от фондовооруженности пяти секторов близки, но эффективность вложений в экономику Германии выше, чем в экономику южных и северных стран, еще выше эффективность пяти стран-основателей и максимальная у трех стран-последователей. Поэтому для построения зависимости производительности труда от фондовооруженности во втором периоде потребовалось ввести три фиктивные переменные – для стран-последователей, стран-основателей и Германии. Расчеты показали, что эластичность несколько снизилась – 0,759 и улучшились статистические характеристики, R2=0,94. Расчеты за второй период в целом по ЕС показали, что эластичность по фондам заметно снизилась относительно первого периода, и при наличии технического прогресса, и без его учета (табл. 2).
Расчеты производственных функций проводились за весь период и по двум подпериодам, до и после вступления северных стран (табл. 2, 3, 4). Надо отметить, что для части секторов данные за 1994–1995 гг. выпадают из общей тенденции, рост производительности труда в секторах происходит при снижении фондовооруженности, возможно, надо проводить расчеты без данных за эти два года или использовать сплайн-функции.
За 1986–2003 гг. расчеты по функции (8) показали, что эффективность вложений в данном периоде растет во всех секторах. Для северных стран не удалось найти приемлемое решение для всего периода по формуле (7), эластичность по фондам примерно равна 1 и соответственно эластичность по труду становится небольшой и отрицательной. Расчеты по формулам (8) и (9) также показали для северных регионов рост эластичности по фондам. Наиболее эффективными оказались страны-последователи и страны-основатели без Германии, эффективность которой снизилась и была лишь немного больше, чем южных стран.

Расчеты при ограничении на сумму эластичности проводились для всего периода и для подпериодов. Для полного периода статистические характеристики были достаточно хорошие, но для расчетов использовались данные для подпериодов, как более точные. Наиболее высокая эластичность оказалась у северных регионов и регионов-последователей – около 0,9, у основателей (кроме Германии) чуть ниже – 0,82, у Германии – 0,79, самая низкая у южных регионов – 0,58. Если сравнивать с первым периодом, то эффективность выросла только у стран-последователей, у остальных она снизилась.
В первом подпериоде при расчетах функции Кобба–Дугласа без ограничений значимость для стран-последователей и северных стран низкая, фактически надо рассматривать зависимость только от инвестиций. В то же время для однородной функции расчеты дали хороший результат, все коэффициенты значимы (табл. 3).

Во втором подпериоде приближение для некоторых секторов оказалось несколько хуже (табл. 4). В Германии падение производительности труда в 1993 г. привело затем к стабилизации фондовооруженности, два года инвестиции не росли. Соответственно для производственных функций эластичность оказалась очень высокой. Надо отметить, что у вступивших в ЕС северных стран эластичность по фондам выросла, также она выросла и у стран-последователей. Снизилась и достаточно сильно эластичность у южных стран, эффект от вступления в ЕС для них оказался непродолжительным.

По второму периоду также можно сказать о положительном влиянии интеграции, но не для всех стран. У северных стран эффективность вложений выросла и при расчетах за весь период по VES-функциям, и при сравнении оценок по функции Кобба–Дугласа для первой и второй частей периода. Наибольшая эффективность вложений была у стран, вступивших в ЕС в 1970-х годах. В то же время у южных стран в начале 1990-х годов начался кризис, из которого только Португалия смогла быстро выйти, в Испании он затянулся на несколько лет, а в Греции продолжается до сих пор. Эффективность экономики стран-основателей также снизилась.
Начало третьего периода было относительно спокойным, хотя часть стран затронула рецессия 1995 г. и азиатский кризис 1997–1998 гг. Но почти все страны ЕС тяжело пережили кризис 2008–2009 гг., соответственно в этом периоде после кризиса возникла похожая ситуация, как и в первом периоде, но производительность труда не росла при падении фондовооруженности. Также надо отметить, что вступившие в ЕС в XXI в. страны очень сильно уступали по своим показателям членам ЕС, даже южным странам (рис. 3).
До 2007 г. эластичность по фондам при оценке по формуле (3) высока и стабильна у северных стран и последователей – примерно 0,9, несколько ниже у основателей и восточных стран – 0,7 и заметно ниже у южных – 0,3. Затем у всех секторов она близка к нулю. Основной вклад в величину и динамику эластичности по фондам экономики ЕС, определенный по формуле (1), снова вносят страны-основатели, но их доля заметно упала – 52% и выросло влияние стран-последователей – примерно 20%. Влияние структурных сдвигов на темп роста экономики ЕС до 2008 г. отрицательно, в структуре экономики ЕС южные страны вытесняют более эффективные страны-основатели, а после 2008 г. разница эластичности секторов незначительна и влияние структурных сдвигов отсутствует.
Появление нового сектора – стран Восточной Европы – привело к изменению вида зависимости производительности труда от фондовооруженности. Продолжение графика для стран Восточной Европы приводит к заметно более низким значениям производительности труда. Для построения зависимости в третьем периоде потребовалось ввести три фиктивные переменные – для стран-последователей (они более эффективны), южных стран (они менее эффективны) и восточных (они малоэффективны). При тех же значениях фондовооруженности у стран-последователей более высокая производительность труда, чем у стран-основателей и северных стран, более низкая – у южных стран и еще более низкая – у стран Восточной Европы. Расчеты показали, что эластичность снизилась по сравнению с предыдущими периодами – 0,65 и улучшились статистические характеристики, R2=0,99. Также и для ЕС в целом, полученная при расчетах функции Кобба–Дугласа эффективность вложений снизилась относительно второго периода (табл. 5).

Производились расчеты функций Кобба–Дугласа для полного периода и без учета последних лет, связанных с кризисом 2008–2009 гг. (табл. 5). Статистические характеристики во втором случае заметно улучшались. Надо отметить, что страны Восточной Европы имеют эластичность по фондам, близкую к странам-основателям, эффективность вложений в их экономику заметно выше, чем у южных стран, хотя и уступает другим секторам.
Для оценки динамики эластичности по фондам строились VES-функции (8) и (9). До 2007 г. у всех секторов эластичность по фондам растет, причем максимальный рост у стран Восточной Европы, минимальный – у южных стран и немного выше – у шести стран-основателей.

Анализ данных третьего периода показал, что вступление в ЕС способствовало росту эффективности экономики стран Восточной Европы, до кризиса росла эффективность всех пяти секторов, высокой эффективностью, как и ранее, отличались страны-последователи и северные страны.
Обсуждение результатов
Проведенный анализ развития ЕС за 40 лет на основе производственных функций показал, что эффективность вложений в экономику ЕС, определяемая по эластичности по фондам, постепенно снижается при вступлении как менее развитых, так и достаточно развитых стран. Эффективность экономики шести стран-основателей также медленно снижается. В то же время у вступивших стран растет эффективность вложений, но у одних этот процесс не прекращается, а у других через некоторое время эффективность вложений начинает падать. В данном случае влияет проводимая страной экономическая политика. Если в 1970-х годах динамику показателей эффективности ЕС определяли Германия и страны-основатели, то в последние годы их влияние на эффективность существенно меньше, чем удельный вес их экономики. Значительное влияние оказывают вступившие в 1970-х годах страны (страны-последователи), составляющие наиболее эффективный сектор, но ситуация изменится после выхода Великобритании из ЕС. В процессе вступления в ЕС наиболее быстро росла эффективность вложений в экономику стран Восточной Европы.
1. Welsch H., Bonn U. Economic convergence and life satisfaction in the European Union // The Journal of Socio-Economics. 2008. Vol. 37. P. 1153-1167.
2. Druzhinin P.V., Moroshkina M.V. Effektivnost' ekonomiki severnyh stran posle vstupleniya v Evropeyskiy Soyuz // Sever i rynok: formirovanie ekonomicheskogo poryadka. 2016. № 1. S. 60-68.
3. Druzhinin P.V. Modelirovanie strukturnyh sdvigov na osnove proizvodstvennyh funkciy / Mezhdunarodnyy ekonomicheskiy simpozium. Materialy mezhdunarodnyh nauchnyh konferenciy, posvyaschennyh 75-letiyu ekonomicheskogo fakul'teta SPbGU. SPb.: SPbGU. 2015. S. 254-262.
4. Bessonov V.A. i dr. Proizvoditel'nost' i faktory dolgosrochnogo razvitiya rossiyskoy ekonomiki. M.: Izd. dom GU VShE, 2009. 66 s.
5. Nizhegorodcev R.M., Gorid'ko N.P. Analiz faktornyh modeley tipa Kobba- uglasa i ob'yasnenie paradoksa Leont'eva // Zhurnal ekonomicheskoy teorii. 2013. № 3. S. 272-275.
6. Gorid'ko N.P., Nizhegorodcev R.M. Postroenie lagovyh regressionnyh modeley tipa Kobba-Duglasa na dolgosrochnyh vremennyh gorizontah // Problemy upravleniya. 2012. № 1. S. 55-63.
7. Felipe J., Fisher F. Aggregation in production functions: what applied economists should know // Metroeconomica. 2003. Vol. 54, pp. 208-262.
8. Li K., Liu T. Economic and productivity growth decomposition: An application to post-reform China // Economic Modelling. 2011. Vol. 28. P. 366-373.
9. Martikainen M., Nikkinen J., Vahamaa S. Production functions and productivity of family firms: Evidence from the S&P 500 // The Quarterly Review of Economics and Finance. 2009. Vol. 42. P. 295-307.
10. Montresor S., Vezzani A. The production function of top R&D investors: Accounting for size and sector heterogeneity with quantile estimations // Research Policy. 2015. Vol. 44. R. 381-393.
11. Welfe W. Long-term macroeconometric models. The case of Poland // Economic Modelling. 2011. Vol. 28. P. 741-753.
12. Morrow K., Roger W., Turrini A. Determinants of TFP growth: A close look at industries driving the EU-US TFP gap // Structural Change and Economic Dynamics. 2010. Vol. 21. P. 165-180.
13. Belov A.V. K voprosu ob effektivnosti i ravenstve kak kriteriyah federal'noy investicionnoy politiki // Prostranstvennaya ekonomika. 2009. № 1. S. 51-61.
14. Popov V.E. Kapital v ekonomike Dal'nego Vostoka Rossii // Prostranstvennaya ekonomika. 2007. № 4. S. 52-67.
15. Velichko A.S. Ocenka proizvoditel'nosti faktorov ekonomicheskogo rosta v regionah Dal'nego Vostoka Rossii // Vestnik TGEU. 2011. № 3. S. 72-87.
16. Lanec S.A. Sovokupnaya faktornaya proizvoditel'nost' v ekonomike Habarovskogo kraya i Dal'nevostochnogo federal'nogo okruga // Vlast' i upravlenie na Vostoke Rossii. 2010. № 4. S. 23-29.
17. Popov V.E. Prepyatstviya i stimuly razmescheniya pryamyh investiciy iz stran SVA v ekonomike Dal'nego Vostoka Rossii // Prostranstvennaya ekonomika. 2006. № 4. S. 81-100.
18. Leonov S.N., Domnich S.L. Ocenka effektivnosti nauchno-tehnicheskogo progressa v poreformennom Kitae // Prostranstvennaya ekonomika. 2008. № 3. S. 156-173.
19. Mastromacro C., Zago A. On modeling the determinants of TFP growth // Structural Change and Economic Dynamics. 2012. Vol. 23. P. 373-382.
20. Seck A. International technology diffusion and economic growth: Explaining the spil-lover benefits to developing countries // Structural Change and Economic Dynamics. 2012. Vol. 23. P. 437-457.
21. Oficial'nyy sayt Evrostata. URL: http://ec.europa.eu/eurostat/data/database (data ob-rascheniya 11.09.2016)
22. Eurostat Yearbook 2014. Luxemburg. 2014. 334 p.
23. Oficial'nyy sayt Vsemirnogo banka. URL: http://data.worldbank.org/indicator (data obrascheniya 11.09.2016)



