from 01.01.2000 until now
Penza, Penza, Russian Federation
from 01.09.2018 to 01.09.1920
Penza, Penza, Russian Federation
CSCSTI 67.03
CSCSTI 67.11
CSCSTI 67.01
Russian Classification of Professions by Education 08.04.01
Russian Library and Bibliographic Classification 38
Russian Library and Bibliographic Classification 308
Russian Trade and Bibliographic Classification 54
Russian Trade and Bibliographic Classification 5413
Russian Trade and Bibliographic Classification 5414
The authors summarized the extensive experience of reconstruction of buildings taking into account the superstructure. A visual full-scale inspection of the actual technical condition of the main bearing and enclosing structures of a non-residential one-storey building was carried out. The possibility of superstructure on the floor of the building using lightweight structural elements of high rigidity is considered. According to the results of the survey, an assessment of the technical condition of the structures is given. The General satisfactory condition of the foundations, walls, internal supports, building covering was revealed. Unacceptable deflections of plates, cracks in the plates and between them are not fixed. However, in the wall at row G has haphazardly small cracks on external verst masonry, which appeared likely to result from the soaking of the masonry from leaks from the roof and changes in temperature and humidity. At the moment, the cracks have stabilized, the leaks have been eliminated. The calculations of the foundations of the test conditions of the stress under the foot and stress check given add-in. Conclusions and recommendations are formulated. For the wall on the axis G in the process of construction and operation must be monitored. In case of activation of development of constructive cracks to solve a question of possible strengthening.
inspection, technical condition, bearing and enclosing structures, superstructure, stress test under the sole of the Foundation
Введение. Исследование вопроса реконструкции различных по назначению зданий и сооружений показал, что увеличение нагрузок при надстройке зданий возможно и без усиления фундаментов и дополнительного упрочнения грунтов основания, если воспользоваться резервом несущей способности грунтов [1-5].
За время эксплуатации зданий и сооружений грунты основания под воздействием нагрузки уплотняются и получают более высокие прочностные характеристики и более низкие деформативные.
Для зданий, эксплуатируемых в различных грунтовых условиях 3-8 лет и не имеющих недопустимых деформаций расчетное сопротивление грунта основания может быть повышено в 1,05-1,50 раза [6].
Цель настоящей работы – выявить возможность надстройки здания еще на этаж с использованием облегченных конструктивных элементов повышенной жесткости.
Материалы и методы при проведении обследования:
- задание частного лица на проведение работ по обследованию технического состояния основных несущих и ограждающих конструкций здания по ул. 2-ой Фестивальный проезд, дом 5а в г.Пенза и выдачу технического заключения о возможности надстройки на этаж данного здания с использованием облегченных конструктивных элементов;
- технический паспорт на здание;
- результаты определения физико-механических характеристик грунтов основания реконструируемого цеха фабрики Пианино по ул. Тарханова;
- результаты определения физико-механических характеристик грунтов основания здания гаража по ул. Автономная;
- результаты натурного обследования фактического технического состояния здания по ул. 2-ой Фестивальный проезд, дом 5а в г.Пенза;
- поверочные расчеты несущей способности основания.
Характеристика объекта. Здание представляет собой прямоугольное в плане кирпичное строение размерами в осях 12,0х18,0 м с несущими наружными стенами из силикатного кирпича толщиной 510 мм и внутренними несущими кирпичными столбами размером 510х510 мм. Здание одноэтажное, бесподвальное. Общая высота этажа 3,45 м в чистоте. Здание запроектировано для использования в качестве магазина.
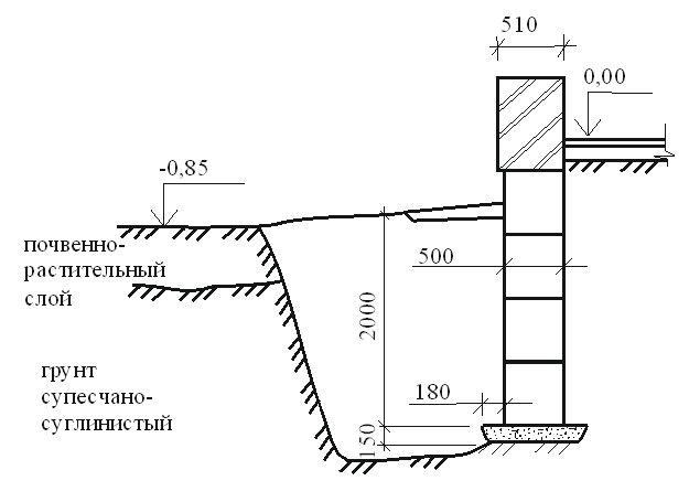
По результатам обследования фундаментов из шурфа, отрытого у наружной стены здания (рис.1), он выполнен из бетонных блоков шириной 0,5 м по щебеночной подготовке толщиной 150 мм. Сечение фундамента под стену показано на рис. 2. Горизонтальная гидроизоляция выполнена из двух слоев рубероида на мастике.

Рис.1. План расположения шурфа

Рис 2. Сечение фундамента в шурфе
Крыша здания плоская. Плиты покрытия железобетонные многопустотные. Кровля из 4 слоев рубероида на битумной мастике по стяжке из цементно-песчанного раствора 30 мм и утеплителю из пенобетонных плит толщиной 150 мм.
Визуальное натурное обследование фактического технического состояния, несущих и ограждающих конструкций здания показало следующее:
- фундаменты здания выполнены из бетонных стеновых блоков шириной 500 мм с опиранием на щебеночную подготовку толщиной 150 мм. Глубина заложения подошвы фундамента 2,0 м. В основании залегают супесчано-суглинистые грунты. Общее состояние фундаментов удовлетворительное.
- стены здания кирпичные из силикатного кирпича толщиной 510 мм. Общее состояние стен удовлетворительное, однако в стене по ряду Г имеются мелкие бессистемные трещины по наружной версте кладки, которые появились вероятнее всего в результате замачивания кладки от протечек с крыши и изменения температурно-влажностного режима. Трещинки стабилизировались, протечки устранены.
- внутренние опоры – кирпичные столбы сечением 510х510 мм, отштукатуренные. Каких либо трещин и других дефектов в штукатурке не обнаружено. Состояние столбов удовлетворительное.
- покрытие здания выполнено из пустотных железобетонных плит с опиранием на наружные стены и прогоны по внутреннему ряду столбов. Недопустимых прогибов плит, трещин в плитах и между ними не зафиксировано. Общее состояние покрытия удовлетворительное.
- кровля здания, совмещенная мягкая не обследовалась в связи с тем, что при надстройке она будет снята.
Расчет фундаментов
Расчет фундаментов заключается в подборе размеров подошвы из условия проверки напряжений под подошвой. В соответствии с СП 22.13330.2016 среднее давление под подошвой фундамента от нормативных нагрузок не должно превышать расчетного сопротивления грунта основания, то есть должно выполняться условие:

где р - среднее давление под подошвой фундамента;
N11 - полная нормативная нагрузка на фундамент;
Аф - площадь подошвы фундамента;
R - расчетное сопротивление грунта основания.
а) Определение расчетного сопротивления грунта основания
Расчетное сопротивление грунтов основания определяется по формуле:
,
где
- коэффициент условий работы грунтов основания;
- коэффициент условий работы сооружения совместно с основанием;
-коэффициент надежности определения физико-механических характеристик грунтов основания;
– коэффициенты, зависящие от угла внутреннего трения грунта несущего слоя;
– коэффициент, зависящий от ширины подошвы фундамента,
– ширина подошвы фундамента,
– среднее значение удельного веса грунтов, залегающих ниже подошвы фундамента,
– то же, залегающих выше подошвы фундамента,
– глубина заложения подошвы фундамента,
– глубина подвала,
– удельное сцепление грунта.
В связи с отсутствием инженерно-геологических условий под данный объект, для расчета взяты определенные результаты изысканий ближайшего окружения – техникум сфера быта и услуг, фабрика пианино, сооружения по ул. Автономная – гараж, ангар и т.д.

Расчетное сопротивление грунта равно:

б) определение фактического давления под подошвой фундамента
Проверка напряжений под подошвой фундамента [7] производится на действие нормативных нагрузок – (табл. 1).
Таблица 1
|
№ п/п |
Наименование нагрузок |
Нормативная нагрузка, кг/ м2 |
|
1 2 3 4 5 |
Постоянные Гидроизоляционный ковер – 4 слоя рубероида на мастике Стяжка из цементно-песчаного раствора 20 мм Утеплитель – пенобетон 150 мм Пароизоляция Плита покрытия |
20,0 36,0 150,0 5,0 300,0 |
|
6 7 |
Временные Снеговая На покрытие |
126,0 75,0 |
|
ИТОГО |
712,0 |
|
Собственный вес стены:
Qст= 0,51х1,0х4,0х1800=3672,0 кг/м.
Собственный вес фундамента:
QФ = 0,5х1,0х2,0х2300=2300,0 кг/м.
Грузовая площадь для сбора нагрузок равна
![]()
Полная нормативная нагрузка на 1 погонный метр стены равна:
NII=712,0 х 2,9 х + 3672,0 + 2300,0 = 2065,0 + 3672,0 + 2300,0 = 8037,0 кг = 80,4 кН.
![]()
Требования норм выполняются с запасом.
в) проверка напряжений с учетом надстройки
При надстройке здания часть нагрузки будет снята (табл.2), а именно:
Таблица 2
|
№ п/п |
Наименование нагрузок |
Нормативная нагрузка, кг/ м2 |
|
|
гидроизоляционный ковер |
20,0 кг/ м2 |
|
|
стяжка из цементно-песчаного раствора 20 мм |
36,0 кг/ м2 |
|
|
утеплитель – пенобетон 150 мм |
150,0 кг/ м2 |
|
|
ИТОГО |
206,0 кг/ м2 |
После надстройки этажа с применением облегченных металлических гнутых профилей повышенной жесткости для несущих и ограждающих конструкций, разработанных и ЦНИИИПСК им. Мельникова г. Москва, нагрузки на фундамент возрастут (табл.3).
Таблица 3
|
№ п/п |
Наименование нагрузок
|
Нормативная нагрузка, кг/ м2 |
|
|
Постоянные |
|
|
1 |
Кровля - металлочерепица |
7,0 |
|
2 |
Обрешетка пароизоляция, разреженная обшивка из досок |
21,5 |
|
5 |
Металлический каркас |
20,0 |
|
6 |
Утеплитель УРСА 200 мм |
5,0 |
|
7 |
Ферма металлическая |
70,0 |
|
8 |
Пароизоляция, обрешетка, сплошная обшивка из досок |
32,0 |
|
11 |
Потолок 2 слоя гипсокартона |
25,0 |
|
12 |
Перегородки |
100,0 |
|
13 |
Полы дощатые, линолеум |
35,0 |
|
14 |
Металлический каркас для пола |
52,0 |
|
|
Временные |
|
|
15 |
Эксплуатационная по СНиП 200,0 х 2 |
150,0 |
|
ИТОГО |
580,0 |
|
Нагрузка от веса стены составляет 110,0 кг/м
Полная нормативная нагрузка на фундамент после надстройки составит:
![]()
Среднее давление под подошвой будет равно:
![]()
Увеличение нагрузки на фундамент составит:
.
Обобщая большой опыт реконструкции зданий с учетом надстройки, учитывая опрессовку грунта в процессе длительной эксплуатации профессора Поляков Е.В., Соколов В.К. рекомендуют увеличивать расчетное сопротивление уплотненного грунта повышающими коэффициентами. Они зависят от соотношения фактического среднего давления под подошвой и расчетного сопротивления грунта природного состояния.
Имеем: ![]()
При таком соотношении повышающий коэффициент равен 1,35, то есть возможно повышение давления на 35,0 %.
По мнению проф. Коновалова П.А. увеличение давления на 20 % возможно без усиления фундаментов и грунтов основания для зданий, эксплуатирующихся не менее 10 лет, и не имеющих деформаций и повреждений, затрудняющих нормальную эксплуатацию сооружения.
Основные выводы и рекомендации:
- Результаты натурного обследования фактического технического состояния несущих и ограждающих конструкций здания по ул. 2-ой Фестивальный проезд, 5а, поверочные расчеты основания показывают, что здание может быть надстроено еще на этаж с использованием облегченных конструкций без усиления существующих фундаментов.
- Для более равномерного распределения усилий от надстраиваемого этажа рекомендуем по всем стенам здания и внутренним прогонам устроить монолитный железобетонный пояс высотой 200 мм, шириной не менее 250 мм с армированием арматурой класса А – III не менее 3-х стержней диаметром 12 мм в верхней и нижней зонах. Поперечная арматура по нормам.
- Вокруг здания необходимо восстановить разрушенную отмостку.
- За стеной по оси Г в процессе строительства и эксплуатации вести наблюдение. В случае активизации развития конструктивных трещин решать вопрос о возможном усилении.
1. Anisimov V.A. Housing stock reconstruction: directions, requirements, prospects // Works of the Novosibirsk State University of Architecture and Civil Engineering (Sibstrin). 2011. Vol. 14. No. 2 (51). Pp. 5-10.
2. Chichkin A.F., Hryanina O.V. Reconstruction of the structure through redevelopment and superstructure. Modeling and Mechanics of Structures. 2016. №3. Systems Requirements: Adobe Acrobat Reader. URL: http://mechanics.pguas.ru/Plone/nomera-zhurnala/no3/stroitelnye-konstrukcii-zdaniya-i-sooruzheniya/3.18/at_download/file.
3. Listova AI, Nommur I.P. About the use of light metal structures for the reconstruction of five-story houses. Bulletin of Pridneprovsk State Academy of Civil Engineering and Architecture. 2008. No. 10 (129). Pp. 14-18.
4. Kalugin PI, Pyatigor OP, Pyatigor DA On the distribution of contact pressure on the base of the foundations of the reconstructed buildings. Scientific Bulletin of the Voronezh State University of Architecture and Civil Engineering. Series: High Technologies. Ecology. 2014. No. 1. P. 54-57.
5. Subbotin, IA, Subbotin, VA, Subbotin, A.I. Geotechnical studies in analyzing the possibility of building reconstruction using the example of a film studio building on ul. Krasnoarmeyskaya, 94 / st. Ostrovsky, 92 in Rostov-on-Don. Construction and architecture. 2014. T. 2. № 2. S. 96-99.
6. Konovalov P.A., Konovalov V.P. Foundations and foundations of the reconstructed buildings: monogr. - M .: Publishing house DIA, 2011. - 384 p.
7. Chichkin A.F., Kuznetsov A.N., Hryanina O.V. Calculation of bases and design of foundations. Textbook: Penza, PGUAS, 2012.



