Ryazan', Orel, Russian Federation
from 01.01.2020 to 01.01.2020
Ryazan', Orel, Russian Federation
VAK Russia 08.00.05
VAK Russia 08.00.10
VAK Russia 08.00.12
VAK Russia 08.00.13
VAK Russia 08.00.14
UDC 2
UDC 33
CSCSTI 06.01
Russian Classification of Professions by Education 38.06.01
Russian Classification of Professions by Education 38.07.02
Russian Library and Bibliographic Classification 6501
BISAC BUS036000 Investments & Securities / General
The article substantiates and graphically presents a set of contradictions that determine the modern dialectic of the development of the illegal activity sector in the financial market. The complex of factors influencing the development of the illegal activity sector in the financial market is systematized. A system of indicators-factors that determine (characterize) the development of the illegal activity sector in the financial market has been developed.
Bank of Russia, financial market, illegal activity, counteraction
Деятельность организаций и публичных проектов, которая характеризуется нелегальным характером и недобросовестностью применяемых практик (далее – нелегальная деятельность), является массовым социально-экономическим явлением. Данное явление отрицательно влияет на развитие финансового рынка, снижая его возможности по аккумулированию средств потенциальных участников, а также снижает уровень доверия населения и организаций к финансовым институтам, которые полностью соблюдают требования законодательства и ответственно выполняют свои обязательства.
Наиболее распространенной разновидностью организаций, осуществляющих нелегальную деятельность на финансовом рынке являются так называемые финансовые пирамиды. В научной литературе достаточно подробно описаны схемы создания и функционирования такого рода организаций. В данном случае следует отметить работы Павловой Д.А. [1], Зубаревой А.М. [2], Назаровой Н.Л. и Семенченко О.Д. [3], Князевой И.Г. и Окунева Д.О. [4] Существенными являются наработки по бухгалтерской судебной экспертизе по делам о совершении данного вида преступлений [5]. Начиная со второй половины 2010-х г.г. получило широкое распространение мошенничество с использованием средств мобильной связи, что в значительной мере связано с расширением числа пользователей пластиковых дебетовых банковских карт, а также пользователей онлайн банковских услуг. Изучение данной проблематики получило развитие в работах Кулева В.К., Папшевой Е.В., Старинского А.Ю. и Сугробовой К.С. [6], Гилязова Р.Р. [7], Михалёва А.В. [8], Барабанова В.С. [9], Шаеховой А.Ф. [11] и Шашло Н.В. [11] Несмотря на существенное внимание, которое уделяется вопросам противодействия недобросовестным практикам и нелегальной деятельности на финансовом рынке, комплекс вопросов, связанных с деятельностью Банка России по снижению уровня криминализации анализируемых общественных отношений не получил значительного развития в научной периодической литературе. Банк России является основным регулятором на национальном финансовом рынке. Реализация данных функций в значительной степени также связана с пресечением нелегальной деятельности в исследуемой сфере. В современных условиях актуальной задачей становится оценка эффективности мероприятий, осуществляемых территориальными подразделениями Банка России, по противодействию недобросовестным практикам и нелегальной деятельности на финансовом рынке.
Мероприятия, осуществляемые территориальными подразделениями Банка России, по противодействию нелегальной деятельности на финансовом рынке связана, прежде всего, с выявлением и пресечением такого рода проявлений. Несмотря на то, что все вышеперечисленные мероприятия осуществляются системно и в тесном взаимодействии с компетентными территориальными подразделениями федеральных органов исполнительной власти, возникают сложности с определением критериев эффективности данной практики. Следует выделить ряд объективных факторов, определяющих данные обстоятельства:
1. Субъекты нелегальной деятельности не концентрируются на конкретном сегменте финансового рынка, а осуществляют комплексную диверсифицированную работу одновременно на рынках финансовых услуг, товаров (медицинского назначения, ювелирных изделий, недвижимости), посреднической деятельности и в сфере деятельности нетрадиционных религиозных организаций и их объединений.
2. Значительная часть нелегальной деятельности осуществляется «онлайн» без привязки к конкретным офисам, реальным юридическим лицам и адресам, а также физическим лицам – учредителям.
3. Цифровизация нелегальной деятельности растет относительно более высокими темпами по сравнению с данными процессами на рынках товаров и услуг.
Таким образом, следует говорить о наличии ряда фундаментальных противоречий, определяющих существование массового социально-экономического явления нелегальной деятельности (рис. 1)

Рис. 1. Комплекс противоречий, определяющих современную диалектику развития сектора нелегальной деятельности на финансовом рынке
Осуществление простой количественной оценки выявленных и пресеченных фактов деятельности нелегальных финансовых организаций (проектов), даже с учетом количественной оценки масштабов пресеченной деятельности (в т.ч. средств, возвращенных потерпевшим) – не будет репрезентативно характеризовать уровень эффективности осуществленных мероприятий. Субъекты нелегальной деятельности не привязаны к конкретному региону, действуют по всей стране с использованием отличных друг от друга методик привлечения потенциальных потерпевших. Анализируемые правонарушения характеризуются высокой латентностью и низкой регистрацией. При этом, одна группа субъектов нелегальной деятельности одновременно работает на нескольких «рынках» одновременно.
Каждый из фактов пресечения является успехом для территориального подразделения Банка России и заслугой конкретных сотрудников. Практика успешных мероприятий должна оперативно распространяться по всей стране, что будет повышать уровень регистрации и раскрытия преступлений, а также правонарушений.
Использование количественных оценок (число пресечений, финансовые масштабы выявленной и пресеченной нелегальной деятельности и др.) является контрпродуктивным подходом по ряду причин:
1. Потенциальное снижение уровня трансфера апробированных практик выявления и пресечения нелегальной деятельности между территориальными органами. Передача эффективных методик и апробированных практик – повышает эффективность деятельности других террорганов, снижая рейтинговый уровень региона-донора данных новаций.
2. Количество пресеченных нелегальных организаций (проектов), а также масштабы их деятельности даже с учетом уровня численности населения в регионах не даст реальных репрезентативных данных об уровне эффективности, которые позволят осуществить корректные межрегиональные сравнения
3. Два вышеперечисленных фактора определяют потенциально высокий риск искажения информации территориальными органами Банка России с целью повысить уровень рейтинговой оценки подразделения. Материализация такого рода рисков связана с возможным зачетом каждого из субъектов пресеченной сети нелегальной деятельности по отдельности (для увеличения численности пресеченных организаций), двойной подсчет регионами фактов пресечений (ликвидация одной организации, действовавшей в нескольких регионах) и т.д.
Более предпочтительный методический подход к анализу и оценке деятельности анализируемых мероприятий основывается на изучении всех характеристик явления незаконной деятельности в совокупности и динамике. Данный подход основывается на гипотезе о том, что явление нелегальной деятельности определяется рядом факторов, каждый из которых определяет интенсивность его проявления и может охарактеризовать его отдельные параметры (рис. 2)

Рис. 2. Факторы влияния на развитие сектора нелегальной деятельности на финансовом рынке
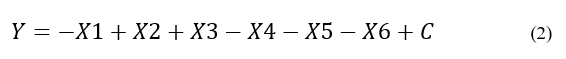
В основу методики положена гипотеза о том, что основным показателем, характеризующим уровень развития нелегальной деятельности в регионе является Y – доля респондентов, которые в ходе ежегодного анонимного опроса ответили, что они в текущем году напрямую столкнулись с анализируемым явлением (стали его жертвами и им был нанесен материальный ущерб).
Таким образом, эффективность мероприятий по противодействию нелегальной деятельности в регионе в анализируемом году может, может быть оценена как индекс изменения Y в данном периоде:
![]()
Y1 – показатель текущего года;
Y0 –показатель прошлого года.
Ряд следующих показателей, характеризующихся, как факторы, определяющие нелегальную деятельность организаций (публичных проектов), могут быть также получены в результате анонимного анкетирования и быть использованными для проведения корреляционно-регрессионного анализа после накопления соответствующего эмпирического материала при систематическом проведении исследований в дальнейшем. (табл. 1)
Таблица 1
Показатели-факторы, определяющие (характеризующие) развитие сектора нелегальной деятельности на финансовом рынке
|
Условное обозначение |
Характер влияния на результирующий показатель Y |
Название показателя |
Способ расчета |
|
X1 |
Дестимулирующий |
Уровень осведомленности населения о существующем перечне видов нелегальной деятельности на финансовом рынке с признаками мошенничества |
Среднее арифметическое значение доли видов нелегальной деятельности на финансовом рынке с признаками мошенничества, указанное респондентами |
|
X2 |
Стимулирующий |
Уровень информационной активности субъектов нелегальной деятельности на финансовом рынке |
Доля респондентов, отметившая регулярное попадание в их поле зрения информационных сообщений рекламного характера о нелегальной деятельности на финансовом рынке |
|
X3 |
Стимулирующий |
Уровень вовлеченности граждан в деятельность субъектов нелегальной деятельности на финансовом рынке |
Доля респондентов, которая напрямую или косвенно сталкивалась с субъектами нелегальной деятельности на финансовом рынке |
|
X4 |
Дестимулирующий |
Уровень осведомленности населения о реальных возможностях полностью легального сектора финансового рынка и его продуктах |
Среднее арифметическое значение доли финансовых продуктов легального сектора рынка, которые известны респондентам (экономическая сущность, возможности, приемущества) |
|
X5 |
Дестимулирующий |
Уровень информационной активности субъектов легального сектора финансового рынка |
Доля респондентов, отметившая регулярное попадание в их поле зрения информационных сообщений рекламного или новостного характера о деятельности легальных участников финансового рынка, развитии институтов и инструментов финансового рынка |
|
X6 |
Дестимулирующий |
Уровень вовлеченности граждан в деятельность субъектов легального сектора финансового рынка |
Доля респондентов, которая напрямую использует продукты легальных участников финансового рынка для вложения своих временно свободных денежных средств |
Таким образом, эконометрическая модель, характеризующая развитие сектора нелегальной деятельности на финансовом рынке может быть представлена в следующем виде:

Отметим, что данная модель является гипотетической. Наличие накопленных эмпирических данных даст возможность проверить все факторы модели на мультиколлинеарность, а также оценить ее уровень статистической значимости. Однако, на текущем этапе, считаем, что данные показатели могут быть использованы в качестве детерминант значения Y, а также рассматриваться, как отдельные факторы, формирующие характеристики исследуемого явления.
1. Pavlova D.A. New financial pyramids and problems of financial literacy // Yearbook " Witte readings". 2012. No. 1. pp. 275-277.
2. Zubareva A.M. Formation of a new concept of the mechanism of counteraction to shadow economic activity committed with the use of financial pyramids // Management of economic systems: electronic scientific journal. 2016. No. 5 (87). P. 20
3. Nazarova N.L., Semenchenko O.D. "Construction" of pyramids as a kind of fraud in the financial market // Legal Science: history and modernity. 2016. No. 2. pp. 141-146.
4. Knyazeva I.G., Okunev D.O. Financial pyramid: essence, risks, evolution // Bulletin of Modern Science. 2015. No. 2 (2). pp. 65-66.
5. Belitsky V.Yu. Appointment and production of accounting forensic expertise in cases of fraud committed on the principle of "financial pyramids" // Bulletin of the Barnaul Law Institute of the Ministry of Internal Affairs of Russia. 2016. No. 1 (30). pp. 9-11.
6. Kulev V.K., Papsheva E.V., Starinsky A.Yu., Sugrobova K.S. Telephone fraud // Proceedings of the International symposium Reliability and Quality. 2010. Vol. 2. P. 352-354.
7. Gilyazov R.R. Ways of committing fraud using cellular telephone communication tools as an element of criminalistic characteristics // Eurasian Legal Journal. 2014. No. 12 (79). pp. 167-169.
8. Mikhalev A.V. Features of investigation of telephone fraud with bank cards at the initial stage // Priority directions of development of science and education. 2014. No. 3 (3). pp. 288-289.
9. Barabanov V.S. To the question of telephone fraud // Alley of Science. 2018. Vol. 2. No. 6 (22). pp. 785-790.
10. Shaekhova A.F. Types of telephone fraud // Innovative science. 2019. No. 5. pp. 151-154.
11. Shashlo N.V. Integrated approach to ensuring economic security of enterprises // Fundamental Research. 2016. No. 11-3. pp. 668-672.




