Волгоград, Волгоградская область, Россия
Волгоград, Вологодская область, Россия
Вологодская область, Россия
Волгоградская область, Россия
ББК 308 Монтаж, эксплуатация, ремонт машин и промышленного оборудования
в статье приведены результаты численных исследований влияния геометрических параметров периодического фундамента и численных значений физико-механических свойств грунтов на величину несущей способности его основания. Все численные эксперименты выполнены при помощи компьютерных программ, в которых для определения напряжений в грунтовом массиве формализован метод конечных элементов в упруго-линейной постановке. Считается, что предельно допустимая нагрузка на основание достигается в момент смыкания областей пластических деформаций (ОПСГ) под подошвой фундамента, форма, положение и размеры, которых, определяются на основе условия пластичности Кулона. В результате обработки данных численного эксперимента установлено, что величина интенсивности предельно допустимой нагрузки на однородное основание заглубленного ленточного «периодического» фундамента при всех прочих равных условиях наиболее чувствительна (по мере убывания) к углу внутреннего трения грунта основания , числу фундаментов в системе, величине отношения модулей деформации материала фундамента и грунта, численному значению приведенного давления связности. Зависимость предельно допустимой нагрузки от величины приведенного давления связности практически линейна, в то время как ее зависимость величины угла внутреннего трения грунта с достаточной для инженерной практики степенью точности может быть аппроксимирована экспонентой. При расстоянии между фундаментными лентами равном приблизительно половине глубины заложения фундамента величина предельно допустимой нагрузки на основание является максимальной. Установлено, что выявленные закономерности могут быть распространены на «периодические» фундаменты, состоящие из фундаментных лент различной ширины.
ленточный фундамент, метод конечных элементов, напряженное состояние, области предельного состояния основания
Под периодическим ленточным фундаментом будем понимать группу идентичных по всем параметрам фундаментных лент, расположенных параллельно друг другу на одинаковой глубине (рис. 1), каждую из которых, называем элементом. Несущую способность основания предлагается оценивать через величину предельно допустимой нагрузки, которая соответствует условию смыкания областей предельного состояния грунта (ОПСГ) под элементами фундамента.
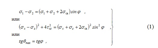
Для отыскания положения, формы и размеров ОПСГ традиционно используют условие прочности Кулона [1], которое можно представить в следующих транскрипциях

- где s1; s2 и sx; sz;txz – соответственно безразмерные (в долях γН) главные нормальные напряжения и компоненты напряжения в точке грунтового массива; sсв = (yHt), приведенное давление связности; С; j и qmax – соответственно сцепление, угол внутреннего трения грунта и угол максимального отклонения; Н – глубина заложения фундамента.
|
|
|
|

Рис.1. Общий вид расчетной схемы основания периодического заглубленного ленточного фундамента, состоящего из двух элементов, используемые обозначения, области предельного состояния грунта (ОПСГ) и уплотненные грунтовые ядра (УГЯ)
При проведении численных исследований использованы компьютерные программы [2;3], в которых реализованы метод конечных элементов (МКЭ) и решения краевых задач теории упругости для полуплоскости [4-6].
На рис. 1 изображен общий вид расчетной схемы МКЭ для периодического фундамента, состоящего из двух элементов, приведены обозначения параметров, используемых при расчете, показаны области предельного состояния грунта (ОПСГ) и уплотненные грунтовые ядра (УГЯ), образовавшиеся в основании фундамента при предельно допустимом значении величины интенсивности равномерно распределенной нагрузки. Не останавливаясь на вопросах составления расчетных схем и отработки граничных условий, приведем некоторые результаты численных исследований, выполненных в упругой постановке задачи.
На рис. 2 и 3 в качестве примера изображены картины изолиний компонент напряжения, ОПСГ и УГЯ в основании нежесткого (слева) и жесткого (Eф/Eо=103, справа) одиночного и периодического (четыре элемента) ленточного фундамента, соответствующие предельным значениям безразмерной (в долях γН) величины интенсивности равномерно распределенной нагрузки qпр, воспринимаемой фундаментом. Анализ этих рисунков и результатов вычислений показывает, что величины предельных нагрузок для нежесткого и жесткого фундамента существенно отличаются по величине при всех прочих равных условиях из-за различного характера распределения напряжений в основании этих фундаментов, зависящего от их жесткости.

фундаментов, состоящих из одного, двух и четырех элементов, при условии, что b=H, d=0;0,25H;0,5H;H;2H. Основание фундаментов сложено однородным глинистым грунтом; величина коэффициента бокового давления принята равной [7], величина угла внутреннего трения при расчетах принимает значения φ=15о; 21о; 25о; 30о, а величина приведенного давления связности =0,56; 1,0; 3,0. Все просчитано 360 вариантов; результаты расчетов сведены в таблицы № 1-5, приводимые ниже.


На основании данных, приведенных таблицах № 1-5, построены кривые зависимостей вида

Результаты анализа этих кривых и содержания таблиц позволяет утверждать, что жесткость периодического фундамента оказывает существенное влияние на несущую способность основания, увеличивая ее.
Проведя дополнительные исследования, вопроса о том, как влияет при всех прочих равных условиях расстояние между элементами периодического фундамента на несущую способность основания, построили графические зависимости вида Qpd=f (b\H) при фиксированных значениях угла внутреннего трения φ грунта основания и различных численных значениях приведенного давления связности Q и наоборот. Эти кривые представлены на рис. 5 и 6. Из этих рисунков видно, что при расстоянии межу фундаментами равным примерно половине их глубины заложения, величина предельно допустимой нагрузки на основание «периодического» фундамента становится максимальной. Отметим, что такая закономерность прослеживалась при условии, что ширина элемента фундамента принимала различные значения.


- величина интенсивности предельно допустимой нагрузки на однородное основание заглубленного ленточного «периодического» фундамента (qпд) при всех прочих равных условиях наиболее чувствительна (по мере убывания) к углу внутреннего трения грунта основания j, числу n, жесткости фундамента (Еш/Ео), приведенному давлению связности sсв. Так, увеличение угла внутреннего трения грунта j от 15о до 30о вызывает рост qпд при n=1 в 3,16 раза, при n=2 – в 4, 11 раза, а при n=4 – в 4,14 раза; изменение величины sсв от 0,59 до 6 обуславливает увеличение qпд для тех же значений n в 2,52; 2,6 и 2,63 раза соответственно. Такое же изменение расчетных параметров для основания жесткого периодического фундамента (Еш/Ео=103) влечет за собой рост интенсивности предельно допустимых нагрузок в 3,68; 5,67; 7,09 и в 2,74; 2,85; 3,03 раза соответственно. При расстоянии между фундаментными лентами равном приблизительно половине глубины заложения фундамента величина предельно допустимой нагрузки на основание является максимальной. Изменение величины Еш/Ео от 1 до 103 при всех прочих равных условиях может повысить несущую способность основания более чем на 200%.
1. Coulomb, C. Application des riles de maxim us et minims a quelques problems de statique relatives an L`architecture / C. Coulomb. -Memories de savants strangers de L`Academlie des sciences de Paris, 1773.
2. Богомолов, А.Н. Устойчивость (Напряженно-деформированное состояние) А.Н.Богомолов и др.// Свидетельство о государственной регистрации программы для ЭВМ № 2009613499 от 30 июня 2009г.
3. Богомолов, А.Н. FEA /А.Н.Богомолов и др.// Свидетельство о государственной регистрации программы для ЭВМ № 2015617889 от 23 июля 2015г.
4. Богомолов, А.Н. Расчет несущей способности оснований сооружений и устойчивости грунтовых массивов в упругопластической постановке / А.Н.Богомолов. - Пермь: ПГТУ, 1996.
5. Богомолов, А.Н., Ушаков, А.Н. Методы теории функций комплексного переменного в задачах геомеханики. - Волгоград : Изд-во ВГСПУ "Перемена", 2014. - 227 с.
6. Богомолов, А.Н., Богомолова, О.А. Сопоставление результатов физических и численных экспериментов по определению несущей способности однородного основания штампа // Основания, фундаменты и механика грунтов. - 2015. - № 6. - С. 7-11.
7. Богомолов, А.Н. К вопросу о минимальных значениях коэффициента бокового давления грунтов / А.Н.Богомолов и др. / Вестник Волгоградского государственного архитектурно-строительного университета. Сер.: Естественные науки. - Волгоград : Изд-во ВолгГАСУ, 2007. - Вып. 6 (23).



