с 01.01.2000 по настоящее время
Пенза, Пензенская область, Россия
с 01.01.2014 по настоящее время
Пенза, Пензенская область, Россия
ГРНТИ 67.11 Строительные конструкции
ГРНТИ 67.21 Инженерные изыскания в строительстве
ГРНТИ 67.01 Общие вопросы строительства
ОКСО 08.04.01 Строительство
ОКСО 08.02.01 Строительство и эксплуатация зданий и сооружений
ОКСО 270000 АРХИТЕКТУРА И СТРОИТЕЛЬСТВО
ББК 38 Строительство
ББК 382 Изыскания и проектирование в строительстве
ББК 385 Строительные конструкции
ББК 308 Монтаж, эксплуатация, ремонт машин и промышленного оборудования
ТБК 5412 Инженерные изыскания в строительстве
ТБК 5413 Основания и фундаменты. Механика грунтов
ТБК 5414 Строительные конструкции
BISAC ARC024000 Buildings / General
BISAC TEC009150 Civil / Soil & Rock
BISAC TEC005000 Construction / General
Авторами выполнено изучение исходных материалов и их анализ, что позволило выявить инженерно-геологические условия площадки строительства и наметить программу научно-обследовательских работ. Проведены натурное и инструментальное обследования технического состояния несущих и ограждающих конструкций здания. Установлено, что конструкции здания в процессе эксплуатации не получили деформаций, препятствующих нормальным условиям работы и в настоящее время находятся в удовлетворительном состоянии. Определена прочность бетона фундамента органолептическим и инструментальным методами, что показало соответствие проектным значениям. Анализ поверочных расчетов основания, удовлетворительное состояние конструкций здания показали, что конструктивное решение покрытия может быть изменено и выполнено в натуре без усиления существующих фундаментов.
надстройка, изучение исходных материалов, визуальное обследование, несущие и ограждающие конструкции, отбор образцов, несущая способность грунтов, поверочные расчеты, техническое заключение
Введение. Нарушение нормального режима эксплуатации зданий и сооружений приводит к появлению всевозможных признаков, влияющих на рабочее состояние конструкций и грунтов оснований не лучшим образом. Это может являться основанием для проведения обследования, позволяющего установить и оценить степень повреждения и категорию технического состояния по сравнению с проектом, техническими условиями и практикой эксплуатации, определить возможность их дальнейшей эксплуатации или необходимость усиления.
Подобные вопросы возникают при реконструкции зданий и сооружений [1, 2], при длительной эксплуатации старых зданий, сносе всего здания или его части, встраивании нового здания среди старых существующих и т.п. [3, 4].
Цель настоящей работы - выявить возможность изменения конструктивного решения покрытия главного корпуса Каменских РЭС с использованием облегченных конструктивных элементов без усиления существующих фундаментов.
При выполнении настоящей научно-исследовательской работы были использованы следующие материалы и методы:
- задание руководства ООО «Пензастройпроект» на выполнение работ по обследованию технического состояния конструкций здания Каменских РЭС и выдача заключения о возможности изменения конструктивного решения покрытия без усиления существующих фундаментов;
- проект привязки «Ремонтно-производственная база электрических сетей. База тип III. Главный корпус», проект № 1228-ТМ, Энергосетьпроект, Ростов на Дону, 1966 г.;
- результаты натурного визуального обследования фактического состояния конструкций, фундаментов и грунтов основания главного корпуса;
- результаты исследования образцов грунта основания с определением основных физико-механических характеристик, необходимых для поверочных расчетов;
- поверочные расчеты основания с учетом изменения условий эксплуатации;
Характеристика объекта. Здание главного корпуса представляет прямоугольное здание в плане с полным железобетонным каркасом, двух пролетное, одноэтажное с размерами 24 х 36 м.
По данным приведенным в типовом проекте № 1228 – ТМ: т.2-19 грунтами основания служит глина коричневая, коричнево-бурая, известковая, полутвердая, тугопластичная со следующими физико-механическими характеристиками (табл.1):
Физико-механические характеристики грунта основания Таблица 1
|
Наименование грунта |
Коэффициент пористости е |
Удельное сцепление с, кПа |
Угол внутреннего трения φ, град |
Модуль деформации Е, МПа |
|
глина |
0,75- 0,78 |
19,0 |
200 |
13 |
Для суждения о грунте основания, определения фактических размеров фундамента, косвенного определения прочности бетона фундамента и отбора образцов грунта для лабораторных исследований был отрыт шурф с наружной стороны здания возле фундамента колонны по ряду Б, ось 7. План расположения шурфа показан на рис. 1, сечение шурфа на рис. 2.
Рис. 1. План расположения шурфа
Рис. 2. Сечение фундамента в шурфе
Визуальное обследование технического состояния несущих и ограждающих конструкций здания
Визуальное обследование фактического состояния грунтов основания фундамента было выполнено в отрытом шурфе в конце мая 2018 г (рис.3). По результатам обмеров установлено, что размер подошвы фундамента по оси 7 составляет 1,6 м, что меньше принятого в проекте 1,8 м. Фундамент монолитный, железобетонный, хорошего качества.
Рис. 3. Фактическое состояния грунтов основания фундамента
Определение прочности бетона органолептическим методом, путем простукивания ребром молотка показало, что на поверхности бетона остается слабо заметный след, звук звонкий. Это подтверждает, что марка бетона выше М 200. Горизонтальная гидроизоляция в уровне низа стеновой панели отсутствует.
Фактическая глубина залегания подошвы фундамента составляет 2,2 м, что на 0,4 м больше принятой в проекте. Такая глубина заложения при определении расчетного сопротивления грунта основания с запасом компенсирует некоторые уменьшения подошвы фундамента в плане [5].
Грунты основания в шурфе соответствуют приведенным в проекте привязки по наименованию. В проекте о грунтовых водах сведений не имеется, в отрытом шурфе вода грунтовая установилась на глубине 2,00 м от поверхности.
Колонны каркаса здания железобетонные по серии КЭ 01-49, вып. II сечением 400х400 мм. Визуальное обследование колонн по оси 3-5 ряду В и пробах бетона ударом молотка по зубилу, установленному перпендикулярно боковой поверхности колонны, показало, что от зубила почти не остается след, пластина не отделяются, след от царапанья зубилом не виден. Это говорит о том, что марка бетона колонны выше М 200. Общее состояние колонны удовлетворительное.
Ограждение здания выполнено из панелей ячеистого бетона толщиной 240 мм. В связи с отсутствием горизонтальной гидроизоляции многие панели замочились и видны следы проявившегося грибка. Сами панели стен не имеют видных деформаций, находятся в удовлетворительном состоянии. В некоторых швах, в местах стыков панелей имеются трещины.
Другие конструкции не обследовались, однако снизу в покрытии видны следы замачивания в следствии протекании кровли.
В покрытии приняты 12-ти метровые двускатные балки по серии ПК 01-66 вып. VIII. Кровля рулонная по утеплителю из пенобетона толщиной 100 мм с плотностью 500 кг/м. Крыша течет. Фотофиксация объекта исследования представлена на рис.4.
Рис.4. Фотофиксация исследуемого объекта
Определение физико-механических характеристик грунтов
Физико-механические характеристики грунтов основания определялись в лаборатории механики грунтов Пензенского государственного университета архитектуры и строительства на образцах грунта ненарушенной структуры, отобранных с площадки строительства. Определялись основные характеристики, необходимые для расчета фундаментов. Все испытания проводились в соответствии с действующими ГОСТами.
Природная влажность ω. Влажность грунта природная определялась в соответствии с [6] весовым методом путем высушивания образцов грунта в сушильном шкафу при температуре 100 – 105 0 С. Всего было испытано 6 образцов грунта. Результаты испытания представлены в табл.2.
Определение природной влажности грунта Таблица 2
|
Номер бюкса |
Масса пустого бюкса, г |
Масса бюкса с влажным грунтом, г |
Масса бюкса с сухим грунтом, г |
Природная влажность, |
Среднее значение |
|
108 |
22.2 |
76.5 |
64.3 |
28.0 |
25.3 |
|
225 |
22.7 |
102.9 |
85.5 |
27.7 |
|
|
370 |
23.4 |
75.6 |
65.7 |
23.4 |
|
|
396 |
22.8 |
74.4 |
64.5 |
23.7 |
|
|
129 |
22.7 |
83.1 |
71.2 |
24.5 |
|
|
374 |
23.3 |
82.2 |
70.7 |
24.3 |
Нормативное значение природной влажности 25.3% .
Природная плотность ρ. Плотность грунта природная определялась методом режущего кольца в соответствии с [6]. Всего было испытано 3 образца грунта. Результаты испытания представлены в табл. 3.
Определение плотности грунта Таблица 3
|
№ кольца |
Масса пустого кольца, г |
Объем кольца, см3 |
Масса кольца с грунтом, г |
Природная плотность, г/см3 |
Среднее значение |
|
14 |
44.4 |
50.0 |
143.8 |
1.99 |
2.01 |
|
9 |
42.3 |
144.6 |
2.04 |
||
|
3 |
41.7 |
142.0 |
2.01 |
Нормативное значение природной плотности 2,01 г/см3.
Плотность минеральных частиц ρs. Плотность минеральных частиц грунта для отдельных разновидностей грунтов меняется в небольших приделах, нами не определялась, а взята по результатам наших испытаний подобных грунтов и по литературным данным равной 2,73 г/см3.
Коэффициент пористости е . Коэффициент пористости рассчитывается по формуле:
где е – коэффициент пористости,
ρs – плотность минеральных частиц,
ρ – плотность природная,
ω – влажность природная.
Пористость грунта n . Пористость грунта рассчитывается по формуле:
где n – пористость грунта,
е – коэффициент пористости,
Степень влажности грунта Sr. Степень влажности грунта, или доля заполнения пор водой, рассчитывается по формуле:
где Sr – степень влажности грунта,
ρs – плотность минеральных частиц,
ω – природная влажность,
е – коэффициент пористости,
ρw – плотность воды, равная 1.0 г/см3.
Согласно [7] – грунт водонасыщенный.
Определение прочностных характеристик грунта
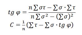
Прочностные характеристики грунта определяются в соответствии с [8] путем испытания образцов грунта на срез в сдвиговом приборе. Всего было испытано 6 образцов грунта.
Результаты испытания следующие:
Таблица 4
|
Вертикальное (уплотняющее) давление σ, кг/см2 |
Горизонтальное (сдвигающее) давление τ, кг/см2 |
|
1.00 |
0.60 |
|
1.50 |
0.80 |
|
2.00 |
0.90 |
|
2.00 |
0.90 |
|
1.50 |
0.80 |
|
1.00 |
0.60 |
Количество испытаний образцов достаточно для статической обработки результатов методов наименьших квадратов. По этому методу в соответствии с [9] прочностные характеристики определяются по формуле:
где – угол внутреннего трения грунта,
C – удельное сцепление
n – число определений.
Определение расчетного сопротивления грунта
При подборе размеров подошвы фундамента в соответствии с [10], среднее давление под подошвой фундамента от нормативных нагрузок не должно превышать расчетного сопротивления грунта основания.
Расчетное сопротивление грунта основания определяется по формуле:
В нашем случае имеем:
Тогда расчетное сопротивление грунта основания будет равно:
Оценка несущей способности основания с учетом изменения конструктивного решения покрытия
Необходимость изменения конструктивного решения покрытия вызвана тем, что существующая крыша с мягкой кровлей и внутренним водостоком за пятьдесят с лишним лет эксплуатации частично разрушена, частично некачественно выполнена часть водосточных труб. Система внутреннего водостока перестала удовлетворять эксплуатационным требованиям.
Изначально крыша была двускатной над каждым пролетом здания. После реконструкции и изменения конструктивного решения покрытия с использованием облегченных металлических конструкций крыша станет двускатной над всем зданием. Внутренний водосток ликвидируется, и отвод воды с крыши станет наружным неорганизованным. Старая крыша практически останется, а новая устраивается дополнительно. Нагрузки на фундамент возрастут. Проверим возможность устройства новой крыши без усиления фундамента и произведем сбор нагрузок (табл. 5).
Сбор нагрузок Таблица 5
|
№ п/п |
Наименование нагрузок |
Нормативная нагрузка, кг/м3 |
|
Существующее здание |
||
|
Постоянные |
||
|
1 |
Слой гравия, втопленный в мастику 15 мм |
27.0 |
|
2 |
2 слоя стеклоткани на мастике |
8.0 |
|
3 |
3 слоя рубероида на мастике |
15.0 |
|
4 |
Асфальтовая стяжка 20 мм |
36.0 |
|
5 |
Утеплитель – пенобетон 100 мм |
50.0 |
|
6 |
Пароизоляция |
5.0 |
|
7 |
Железобетонная плита покрытия |
300.0 |
|
Временные |
||
|
8. |
Снеговая |
126.0 |
|
9 |
На покрытие |
75.0 |
|
Дополнительная нагрузка – новая крыша |
||
|
Постоянные |
||
|
10
|
Кровля металлическая по деревянной обрешетке из досок |
24.0 |
|
11 |
Металлическая ферма |
20.0 |
|
12 |
Бетонные столбики |
26.0 |
|
13 |
Стойки каркаса |
8.0 |
|
14 |
Распределительные балки |
35.0 |
|
|
ИТОГО |
755.0 |
Требования [10] удовлетворяются с небольшим запасом.
По данным П.А.Коновалова [11], А.Г. Ройтмана [12] и других исследователей [13], установлено, что для глинистых грунтов с показателем текучести IL ≤ 0,5 при длительной эксплуатации зданий (более 15 лет) значения характеристик расчетного сопротивления грунта основания R обычно увеличиваются за счет улучшения свойств грунтов при их уплотнении давлением зданий и могут несколько уменьшаться (в меньшей степени) в результате повышения влажности грунта в пределах пятна застройки.
Профессора Е.В. Поляков и В.К. Соколов [14], обобщая большой опыт реконструкции зданий и сооружений, учитывая оппрессовку грунта в процессе длительной эксплуатации рекомендуют увеличивать расчетное сопротивление уплотненного грунта повышающими коэффициентами, которые зависят от соотношения фактического среднего давления под подошвой и расчетного сопротивления грунта природного состояния Р/R = 0,94.
Таким образом, уплотнение грунтов под подошвой фундаментов в процессе длительной эксплуатацией позволяет принять еще на 10-30% более высокое сопротивление грунта.
Основные выводы и рекомендации:
1. Визуальные обследования фактического технического состояния несущих и ограждающих конструкций главного корпуса Каменских РЭС показало, что все они не имеют недопустимых деформаций, дефектов и разрушений, препятствующих нормальной эксплуатации и находятся в удовлетворительном состоянии.
2. Проверочные расчеты основания с учетом изменения условий эксплуатации в связи со строительством новой крыши, некоторые увеличения давления под подошвой фундамента не выходит за пределы требований СП 22.13330.2016.
3. Для исключения дальнейшего постоянного замачивания нижних стеновых панелей за счет капиллярного подсоса грунтовой влаги необходимо восстановить горизонтальную гидроизоляцию.
4. Изменения конструкции покрытия главного корпуса Каменских РЭС может выполняться без усиления существующих фундаментов.
1. Золотозубов Д.Г., Безгодов М.А. Реконструкция зданий и сооружений. Пермь, 2014.
2. Чичкин А.Ф., Хрянина О.В. Реконструкция сооружения посредством перепланировки и надстройки //Моделирование и механика конструкций. 2016. №3. Систем. требования: Adobe Acrobat Reader. URL: http://mechanics.pguas.ru/Plone/nomera-zhurnala/no3/stroitelnye-konstrukcii-zdaniya-i-sooruzheniya/3.18/at_download/file.
3. Беляев Н.В., Фурсов В.В. О разнообразии причин образования повреждений несущих ограждающих конструкций // Вестник Сибирской государственной автомобильно-дорожной академии. 2013. № 5 (33). С. 45-51.
4. Хрянина О.В. Анализ причин деформаций фундаментов и надфундаментных конструкций здания // Современные наукоемкие технологии. - 2018. - № 11-1. - С. 72-77; URL: http://www.top-technologies.ru/ru/article/view?id=37240 (дата обращения: 22.05.2019).
5. Чичкин А.Ф., Кузнецов А.Н., Хрянина О.В. Расчет оснований и проектирование фундаментов. Учебное пособие: Пенза, ПГУАС, 2012.
6. ГОСТ 5180-2015. Грунты. Методы лабораторного определения физических характеристик. Дата введения 2016-04-01.
7. ГОСТ 25100-2011. Грунты. Классификация. Дата введения 2013-01-01.
8. ГОСТ 12248-2010. Грунты. Методы лабораторного определения характеристик прочности и деформируемости. Актуализация: 05.05.2017.
9. ГОСТ 20522-2012. Грунты. Методы статистической обработки результатов испытаний. Дата введения 2013-07-01.
10. СП 22.13330.2016. Основания зданий и сооружений. Актуализированная редакция СНиП 2.02.01-83*.
11. Коновалов П.А. Основания и фундаменты реконструируемых зданий.-4-е изд., перераб. и доп.- М.:ВНИИНТПИ, 2000.-318 с.
12. Ройтман А.Г. Предупреждение аварий зданий.- М.: Стройиздат, 1990.-240 с.
13. Зурнаджи В.А., Филатова М.П. Усиление оснований и фундаментов при ремонте зданий.- М.: Строийиздат, 1970. - 96 с.
14. Соколов В.К. Модернизация жилых зданий.- М.: Стройиздат, 1986.-151 с.



