с 01.01.2010 по настоящее время
Россия
ВАК 08.00.10 Финансы, денежное обращение и кредит
ВАК 08.00.12 Бухгалтерский учет, статистика
ВАК 08.00.13 Математические и инструментальные методы экономики
ВАК 08.00.14 Мировая экономика
УДК 338 Экономическое положение. Экономическая политика. Управление и планирование в экономике. Производство. Услуги. Цены
УДК 339 Торговля. Международные экономические отношения. Мировое хозяйство
В статье рассмотрены современные проблемы продовольственной безопасности РФ. Проанализировано влияние политики недружественных государств на продовольственную безопасность России, а также представлены антисанкцонные меры, направленные на поддержание экономики и обеспечение продовольственной безопасности РФ. Рассчитаны темпы роста экспорта сельскохозяйственной продукции, а также представлена динамика валового сбора основных видов сельскохозяйственных культур в целом по стране.
продовольственная безопасность, сельскохозяйственная продукция, экспорт, недружественные государства, антисанкционные меры, валовый сбор сельскохозяйственной продукции
2022 год дал начало новому кризису, через который приходится проходить России и мировом сообществу. Экономика как России, так и мира не успела еще окрепнуть от влияния эпидемии COVID-19, которая уже на протяжении трех лет истощает граждан и бизнес, как против России рядом недружественных стран были выдвинуты пакеты санкций из-за официального признания Россией ДНР и ЛНР посредством подписания документов о признании Донецкой и Луганской народных республик [1,2,3,4]. Ратификации этого события послужил восьмилетний Вооружённый конфликт в Донбассе, жители которого подвергаются издевательствам и геноциду [5] со стороны киевского режима из-за нежелания их признания как независимых республик и территориального отделения из состава Украины. В соответствии с подписанными указами президентом РФ Путиным В.В. Россия начала специальную военную операцию по демилитаризации и денацификации Украины. В ответ на действия России Соединенные Штаты Америки, страны Евросоюза и ряд других стран активно начали вводить различного рода санкции против России, и поэтому вошли в разряд «недружественных государств» по отношению к РФ.
Официально понятие «недружественное государство» в России впервые было употреблено в Федеральном законе от 4 июня 2018 г. N 127-ФЗ "О мерах воздействия (противодействия) на недружественные действия Соединенных Штатов Америки и иных иностранных государств" [6] в соответствии с которым данное понятие трактуется как защита интересов и безопасности Российской Федерации, ее суверенитета и территориальной целостности, прав и свобод граждан Российской Федерации от недружественных действий со стороны иностранных государств. В данном случае к недружественным действиям относятся как политические, так и экономические санкции против физических и юридических лиц Российской Федерации, а также совершение других действий, представляющих угрозу территориальной целостности Российской Федерации или направленных на экономическую и политическую дестабилизацию Российской Федерации [6]. В список недружественных стран в соответствии с Распоряжением Правительства РФ №430-р от 5.03.2022 года [7] были отнесены следующие страны: Соединенные Штаты Америки, Великобритания, Государства - члены Европейского союза, Япония, Австралия, Албания, Андорра, Исландия, Канада, Лихтенштейн, Микронезия, Монако, Новая Зеландия, Норвегия, Республика Корея, Сан-Марино, Северная Македония, Сингапур, Тайвань (Китай), Украина, Черногория, Швейцария. На апрель 2022 года против России введены пять пакетов санкций. Они включают в себя:
- персональные санкции против Владимира Путина и членов Правительства Российской Федерации;
- масштабные ограничения финансовой системы России (включая Центробанк и крупнейшие банки);
- закрытие воздушного пространства и морских портов;
- ограничения деятельности отдельных отраслей экономики, ряда российских компаний и крупнейших предпринимателей.
Также следует отметить, что со стороны недружественных государств происходит постоянное обновление списка подсанкционных лиц. В настоящее время Россия является мировым лидером по количеству наложенных санкций.
В ответ на санкции недружественных государств и противоречащие международному праву действия США и примкнувших к ним иностранных государств и международных организаций Россией были введены антисанкционные меры [8]. Они были предприняты для поддержки экономики страны, ее граждан, а также в целях обеспечения продовольственной безопасности. Правительство РФ постановило установить ряд запретов на вывоз из страны некоторых сельскохозяйственных товаров, которые позволят стабилизировать цены на значимую сельскохозяйственную продукцию на внутреннем рынке.
Таблица 1 - Антисанкционные меры в сфере таможенного регулирования (группа вывоз товаров) по поддержанию экономики и обеспечению продовольственной безопасности РФ
|
Сельскохозяйственная продукция |
Антисанкционная мера |
Регламентирующий документ |
|
Масло подсолнечное, жмых подсолнечный |
С 15 апреля по 31 августа 2022 г. включительно установлено количественное ограничение на вывоз за пределы территории РФ в государства, не являющиеся членами ЕАЭС, масла подсолнечного в объеме 1500000 тонн, жмыхов и других твердых остатков из семян подсолнечника в объеме 700000 тонн. |
Постановление Правительства РФ от 31 марта 2022 г. N 548
В отношении указанных ограничений предусмотрен ряд исключений
|
|
Соевый шрот |
С 1 апреля по 31 августа 2022 г. включительно убытие с территории РФ соевого шрота, вывозимого автомобильным, железнодорожным и водным транспортом, осуществляется только из определенных установленных пунктов пропуска через государственную границу Российской Федерации. |
Постановление Правительства РФ от 31 марта 2022 г. N 533
Приложение к постановлению Правительства Российской Федерации от 31 марта 2022 г. N 533
Для вывоза указанных товаров предусмотрен ряд исключений |
|
Подсолнечный шрот |
Ставка вывозной таможенной пошлины на подсолнечный шрот, вывозимый из РФ за пределы таможенной территории ЕАЭС, рассчитывается Министерством сельского хозяйства РФ по следующей формуле:
Ст = (Цэ - 185 долларов США)*0,7,
где Ц э - индикативная цена за 1 тонну подсолнечного шрота, рассчитанная в соответствии с пунктом 5 настоящего Положения.
При отрицательном значении С т, получаемом при расчете в соответствии с настоящим пунктом, С т принимается равной нулю. |
Постановление Правительства РФ от 31 марта 2022 г. N 532
Постановление Правительства РФ от 31 марта 2022 г. N 532 |
|
Масличный лен |
С 1 мая по 31 августа 2022 года в отношении масличного льна, вывозимого из России за пределы ЕАЭС, устанавливается таможенная пошлина в размере 20%, но не менее 100 долларов США за тонну |
Постановление Правительства РФ от 31 марта 2022 г. N 531
|
|
Соевые бобы |
С 1 апреля по 31 августа 2022 г. включительно убытие с территории РФ соевых бобов, вывозимых автомобильным, железнодорожным и водным транспортом, осуществляется только из пунктов пропуска через государственную границу Российской Федерации. |
Постановление Правительства РФ от 31 марта 2022 г. N 530
Постановление Правительства РФ от 31 марта 2022 г. N 530
Для вывоза указанных товаров предусмотрен ряд исключений
|
|
Семяна подсолнечника и рапса |
С 1 апреля по 31 августа 2022 года вводится временный запрет на экспорт семян подсолнечника и рапса. |
Постановление Правительства России от 31.03.2022 N 529
Для вывоза указанных товаров предусмотрен ряд исключений |
|
Удобрения |
До 31 мая 2022 года включительно увеличены действующие экспортные квоты для российских производителей минеральных удобрений
До 1 мая 2022 года продлевается временный запрет на вывоз аммиачной селитры за пределы ЕАЭС (он был введён 1 февраля и должен был действовать до 1 апреля). |
Постановление Правительства России от 15.04.2022 N 670
Постановление Правительства России от 26.03.2022 N 472
Для вывоза указанных товаров предусмотрен ряд исключений |
|
Зерновые (пшеница и меслин семенные, рожь семенная, ячмень семенная, кукуруза семенная и кукуруза лопающаяся) |
С 15 марта по 30 июня 2022 года вводится временный запрет на вывоз зерновых культур за пределы территории РФ, кроме стран ЕАЭС наличии разрешения, выданного Минсельхозом. |
Постановление Правительства России от 31.03.2022 N 528
Для вывоза зерна предусмотрен ряд исключений |
|
Сахар |
С 15 марта по 31 августа 2022 г. включительно вводится временный запрет на вывоз сахара белого и сахара-сырца тростникового за пределы РФ |
Постановление Правительства России от 14.03.2022 N 361, Информация Минэкономразвития России от 15.03.2022
Для вывоза сахара предусмотрен ряд исключений |
|
Пестициды и агрохимикаты |
До 1 июля 2022 г. разрешен ввоз в РФ пестицидов и агрохимикатов через любые пункты пропуска через государственную границу Российской Федерации |
Указ Президента РФ от 18 апреля 2022 г. N 210 |
Представленные в таблице 1 поддерживающие антисанкционные меры, помимо стабилизации экономики России и обеспечения ее продовольственной безопасности оказывают негативное влияние на страны, в которые запрещен ввоз этой продукции. Российскую Федерацию, входящую в первую десятку сильнейших экономик мира, невозможно безболезненно исключить из мирового хозяйства без потерь для собственных экономик недружественных государств. На сегодняшний день Россия является ключевым поставщиком зерна на мировом рынке и находится на 17 месте в рейтинге основных мировых экспортеров продовольствия. Европейский союз является крупнейшим торговым партнером России в области сельскохозяйственной продукции, и это сотрудничество имеет долгую историю. Также основными покупателями являются Китай, Турция, Египет, Южная Корея, Узбекистан, Украина, Индия, Норвегия, Азербайджан. Всего Россия экспортирует сельскохозяйственную продукцию в 157 стран Мира. По данным подведомственного Минсельхозу центра «Агроэкспорт» в 2021 году страны Евросоюза обогнали Китай и заняли первое место по импорту продовольствия из России. Поставки продукции АПК в ЕС в 2021 году выросли на 40 % до 4,484 млрд долл., что в общей структуре экспорта России составляет 13,1% [9].
Таблица 2 – Экспорт сельскохозяйственной продукции России *
|
Сельскохозяйственная продукция |
2019 г. |
2020 г. |
2021 г. |
Темп роста 2021 г. к 2019 г. |
|||
|
млн. долл. |
тыс. тонн |
млн. долл. |
тыс. тонн |
млн. долл. |
тыс. тонн |
% |
|
|
Зерновые |
7937,0 |
39476,3 |
10161,6 |
48893,1 |
11440,7 |
43074,9 |
144,1 |
|
Масложировая продукция |
4069,2 |
7221,3 |
4922,4 |
8072,0 |
7297,5 |
7652,2 |
179,3 |
|
Мясная и молочная продукция |
882,3 |
520,9 |
1203,7 |
732,2 |
1578,2 |
775,4 |
178,9 |
|
Продукция пищевой и перерабатывающей промышленности |
3990,0 |
9178,2 |
4497,3 |
9471,9 |
5192,9 |
9289,1 |
130,1 |
|
Прочая продукция АПК |
3286,5 |
7494,9 |
4440,9 |
9531,5 |
4952,6 |
8199,8 |
150,7 |
|
Рыба и морепродукты |
5442,8 |
2127,1 |
5330,2 |
2262,1 |
6678,3 |
2076,8 |
122,7 |
* Составлено автором на основе данных ФТС России, Росстата и Федерального центра развития экспорта продукции АПК Минсельхоза России

Рисунок 1 – Экспорт сельскохозяйственной продукции России, млн. долл.
Представленные данные в таблице 2 демонстрируют положительную динамику экспорта за последние годы, что также подтверждает растущий спрос со стороны зарубежных стран на сельскохозяйственную продукцию России. Средний темп роста по сельскохозяйственной продукции составил в 2021 году 150%, что в 1,5 раза больше, чем в 2019 году. Исходя из этого следует утверждать, что российская сельскохозяйственная экономика глубоко интегрирована в мирохозяйственные связи и введенные ответные меры России по ограничению экспорта сельхозпродукции существенно скажутся на недружественных странах, нанеся им значительный ущерб. По данным Продовольственной и сельскохозяйственной организации ООН повсеместное подорожание продовольственной продукции за рубежом ожидается от 8 до 22%. Оно обусловлено не только дефицитом зерновых, но и подорожанием топлива и азотных удобрений, на поставки которых Россия также установила ограничения. В течение этого года прогнозируется дальнейший рост цен в недружественных государствах на продовольственные товары ещё более быстрыми темпами, оценить которые на данный момент достаточно сложно из-за высокой неопределенности внешнеэкономической и внешнеполитической ситуаций. И ключевым фактом в данной ситуации является не просто увеличение стоимости продукции, а предстоящий дефицит продовольственных товаров. Избежать дефицита будет практически невозможно несмотря на то, что многие страны уже активно ищут альтернативных поставщиков зерна, так как заменить Россию и Украину, которые являются лидерами мирового рынка, нельзя.
Что касается внутреннего рынка России, то следует отметить, что на текущий момент времени сложностей с импортными поставками практически не возникает. Это обуславливается, во-первых, достаточным запасом импортных семян, так как они были закуплены заранее (по данным Минсельхоза РФ, обеспеченность зерном в России превышает 150%), во-вторых, посевная кампания в текущем году началась гораздо раньше прошлогодней (к 15 марта яровые культуры были посеяны на 235 тыс. га.), в -третьих, по мнению самих аграриев, поставки, которые были отменены, можно будет заменить российскими аналогами [10]. На сегодняшний день в России функционирует межведомственный Координационный совет, задачей которого является развитие селекции и семеноводства отечественных сельскохозяйственных культур. Совет ориентирует аграриев на увеличение использования семян отечественной селекции и развитие эффективных механизмов в данном секторе [11].

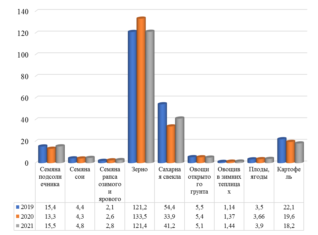
Рисунок 2 - Динамика валового сбора основных видов сельскохозяйственных культур в хозяйствах всех категорий России, млн.т.*
*Составлено автором на основе данных итоговых докладов о результатах деятельности Минсельхоза России за 2019, 2020 и 2021 годы [12,13,14]
Полученные данные свидетельствуют об увеличении валового сбора в 2021 году по таким видам сельхозкультур как семена подсолнечника, сои, рапса, сахарной свеклы, овощей в зимних теплицах, плодов и ягод. Проседание некоторых видов культур в 2020 году было связано с погодными условиями, но несмотря на это, по оценке Минсельхоза России были достигнуты или превышены плановые значения уровня самообеспечения, предусмотренные в Доктрине Продовольственной безопасности.
Однако следует отметить, что удельный вес импортных семян даже при усредненных оценках достаточно высокий особенно по подсолнечнику – он снизился за 2018-2021гг. с 42,53 % до 27,33% (↓ 15,2%), по картофелю - возрос 35,41 до 38,72% (↑ 3,31%), по сахарной свекле - снизился 20,63% до 18% (↓ 2,63%). При этом, если для сахарной свёклы сокращение импорта семян соответствует сокращению размеров посевных площадей, то для льна при сокращение посевных площадей на 11,11%, объемы импорта семян возросли в 3,47 раз. Для картофеля также импорт семян сократилось с меньшими темпами чем посевные площади под картофелем [15]. Данный факт свидетельствует о высокой зависимости России от зарубежных семян, что негативно скажется на посевном сезоне в 2023 году. Тем не менее еще есть время для поиска путей решения данной проблемы.
В 2022 году Министерством Сельского хозяйства планируется увеличить посевные площади на 1 млн г и довести данный показатель до 81,3 млн га в сравнении с прошлым 2021 годом. А собрать Минсельхоз рассчитывает собрать 123 млн тонн зерна (по заявлению министра сельского хозяйства РФ Дмитрия Патрушева в ходе совещания президента РФ Владимира Путина с кабмином). Однако, особо важной проблемой на сегодняшний день является разрыв логистических цепочек и дефицит посевного материала на будущий сезон в 2023 г.
Несмотря на удовлетворительную ситуацию в агропромышленном комплексе, помимо представленных выше антисанкцинных мер, Правительство Российской Федерации разработало дополнительный поддерживающий комплекс для аграриев в целях обеспечения продовольственной безопасности сраны:
- из резервного фонда РФ выделено 26 млрд руб. на субсидии российским кредитным организациям на возмещение недополученных ими доходов по кредитам, выданным по льготной ставке системообразующим организациям и (или) их дочерним обществам, занятым в АПК, на ведение операционной деятельности [16];
- отсрочка платежей на полгода по льготным инвестиционным кредитам, срок договоров по которым истекает в 2022 году и возможность пролонгации срока кредита ещё на один год для краткосрочных льготных займов, срок договоров по которым также истекает в 2022 году [17];
- дополнительно будет выделено не менее 153 млрд рублей на кредиты аграрии, а центрам селекции и - не менее 5 млрд рублей [18];
- из федерального бюджета правительство выделяет 10 млрд рублей на возмещение части затрат на производство и реализацию зерновых культур [19].
В ближайшем году сельхозпроизводители смогут покрыть свои убытки, уменьшить размер ежемесячных платежей и снизить кредитную нагрузку. Из приведенных данных становится совершенно очевидным, что в краткосрочной перспективе Российская Федерация полностью позаботилось о наличии продовольствия на внутренних рынках страны и обеспеченности граждан необходимыми агропромышленными продуктами, которые являются основой обеспечения продовольственной безопасности.
В заключении следует отметить, что современные проблемы обеспечения продовольственной безопасности в России сводятся в первую очередь к проблемам с логистикой и зависимости агропромышленного комплекса от импорта семян. Однако, имеющийся потенциал России и государственная поддержка создает широкие возможности для импортозамещения в сельском хозяйстве и развития отечественного АПК, тем самым противодействуя угрозам, возникающим со стороны недружественных государств. Правительство постоянно разрабатывает и внедряет актуальные мероприятия по поддержке экономики страны для минимизации ущерба от вводимых против нее санкций.
1. Указ Президента Российской Федерации от 21.02.2022 № 72 "О признании Луганской Народной Республики" [Электронный ресурс] - Доступ из системы ГАРАНТ // ЭПС "Система ГАРАНТ": URL: http://ivo.garant.ru/#/document/403557794/paragraph/1/doclist/2203/showentries/0/highlight/Указ%20Президента%20Российской%20Федерации%20от%2021.02.2022%20№%2072%20"О%20признании%20Луганской%20Народной%20Республики":1
2. Указ Президента Российской Федерации от 21.02.2022 № 71 "О признании Донецкой Народной Республики" Электронный ресурс] - Доступ из системы ГАРАНТ // ЭПС "Система ГАРАНТ": URL: http://ivo.garant.ru/#/document/403557792/paragraph/1/doclist/2241/showentries/0/highlight/Указ%20Президента%20Российской%20Федерации%20от%2021.02.2022%20№%2071%20"О%20признании%20Донецкой%20Народной%20Республики":3
3. Федеральный закон от 22 февраля 2022 г. N 16-ФЗ "О ратификации Договора о дружбе, сотрудничестве и взаимной помощи между Российской Федерацией и Луганской Народной Республикой" Электронный ресурс] - Доступ из системы ГАРАНТ // ЭПС "Система ГАРАНТ": URL: http://ivo.garant.ru/#/document/403561128/paragraph/1/doclist/2250/showentries/0/highlight/О%20ратификации%20Договора%20о%20дружбе,%20сотрудничестве%20и%20взаимной%20помощи%20между%20Российской%20Федерацией%20и%20Луганской%20Народной%20Республикой:5
4. Федеральный закон от 22 февраля 2022 г. N 15-ФЗ "О ратификации Договора о дружбе, сотрудничестве и взаимной помощи между Российской Федерацией и Донецкой Народной Республикой" Электронный ресурс] - Доступ из системы ГАРАНТ // ЭПС "Система ГАРАНТ": URL: http://ivo.garant.ru/#/document/403561126/paragraph/1/doclist/2281/showentries/0/highlight/О%20ратификации%20Договора%20о%20дружбе,%20сотрудничестве%20и%20взаимной%20помощи%20между%20Российской%20Федерацией%20и%20Донецкой%20Народной%20Республикой:7
5. Путин объявил о специальной военной операции в Донбассе // Редакция журнала РБК. 2022. URL: https://www.rbc.ru/politics/24/02/2022/6216f2859a79474c63d4019b
6. Федеральный закон от 4 июня 2018 г. N 127-ФЗ "О мерах воздействия (противодействия) на недружественные действия Соединенных Штатов Америки и иных иностранных государств" Электронный ресурс] - Доступ из системы ГАРАНТ // ЭПС "Система ГАРАНТ": URL: http://ivo.garant.ru/#/document/71958400/paragraph/2/doclist/346/showentries/0/highlight/фз%20127-фз:6
7. Распоряжение Правительства РФ от 5 марта 2022 г. N 430-р Перечень иностранных государств и территорий, совершающих в отношении Российской Федерации, российских юридических лиц и физических лиц недружественные действия Электронный ресурс] - Доступ из системы ГАРАНТ // ЭПС "Система ГАРАНТ": URL: http://ivo.garant.ru/#/document/403615676/paragraph/1/doclist/1422/showentries/0/highlight/РФ%20№430-р%20от%205.03.2022:1
8. Антисанкционные меры 2022 (специальные экономические меры и меры, направленные на поддержку бизнеса и граждан) Электронный ресурс] - Доступ из системы ГАРАНТ // ЭПС "Система ГАРАНТ": URL: http://ivo.garant.ru/#/document/57750630/paragraph/2136/doclist/15/showentries/0/highlight/недружественные%20страны:0
9. Департамент развития экспорта продукции АПК. ОПЕРАТИВНЫЙ ОБЗОР ЭКСПОРТА ПРОДУКЦИИ АПК // Министерство сельского хозяйства Российской Федерации. 2020. URL: https://mcx.gov.ru/upload/iblock/07e/07ead3e9aad3f434144873880281f133.pdf/
10. Аграрии РФ готовятся к проведению сева в новых условиях. Обзор // Интерфакс. 2022. URL: https://www.interfax.ru/business/829602
11. Лукомец, А. В. Семеноводство в обеспечении ресурсного рынка АПК и методы его защиты / А. В. Лукомец // Фундаментальные и прикладные исследования кооперативного сектора экономики. - 2021. - № 2. - С. 134-141. - DOIhttps://doi.org/10.37984/2076-9288-2021-2-134-141. - EDN VNGATF.
12. Итоговый доклад о результатах деятельности Минсельхоза России за 2019 год // Министерство сельского хозяйства Российской Федерации. 2020. URL: https://mcx.gov.ru/upload/iblock/0f3/0f3d221e501319593191f6b39cbf0149.docx
13. Итоговый доклад о результатах деятельности Минсельхоза России за 2020 год // Министерство сельского хозяйства Российской Федерации. 2021. URL: https://mcx.gov.ru/upload/000/Итоговый%20доклад.pdf
14. Итоговый доклад о результатах деятельности Минсельхоза России за 2021 год. // Министерство сельского хозяйства Российской Федерации. 2022. URL: https://mcx.gov.ru/upload/iblock/aed/aed85b58433e872aa1848ad211ced148.pdf
15. Лукомец, А. В. Импорт семян в российскую Федерацию / А. В. Лукомец // Экономика, труд, управление в сельском хозяйстве. - 2021. - Т. 2. - № 12(82). - С. 146-150. - DOIhttps://doi.org/10.33938/21122-146. - EDN TMGVON.
16. Распоряжение Правительства РФ от 18 марта 2022 г. № 532-р. URL: https://www.garant.ru/products/ipo/prime/doc/403622622/
17. Постановление Правительства Российской Федерации от 03.03.2022 № 280. URL: http://publication.pravo.gov.ru/Document/View/0001202203040003
18. Кира Латухина. Путин назвал пять мер поддержки аграриев. Главное // Интернет-портал «Российской газеты». 2022. URL: https://rg.ru/2022/04/05/putin-nazval-piat-mer-podderzhki-agrariev-glavnoe.html
19. На компенсацию расходов при производстве и реализации зерна выделят 10 млрд рублей // Интерфакс. 2022. URL: https://www.interfax.ru/russia/837179



