с 01.04.2012 по настоящее время
Новочеркасск, Ростовская область, Россия
Россия
В статье предложен метод расчета несущей способности фундамента совместно с грунтовым основанием, где рассчитано армирование плитной части фундамента, при котором разрушение изгибом и продавливанием происходит при одинаковой предельной нагрузке с учетом прочностных характеристик грунтового основания и неравномерности эпюры контактных напряжений. Для данного метода проведены расчеты для различных типов грунтов и определена область его применения.
область применения, система «железобетонный фундамент – грунтовое основание», предельная нагрузка, предельный изгибающий момент, продавливание
Многочисленные исследования несущей способности грунтовых оснований показали, что не всегда возможно применение разработанного метода для всех типов грунтов. В этой области исследования стоит упомянуть работы Богомолова А.Н.[1], Дыбы В.П.[10], Евтушенко С.И.[2], Федоровского В.Г.[3], Мирсаяпова И.Т.[4], Караулова А.М.[5] и др.
Строительные правила предусматривают расчет несущей способности грунтового основания по формуле (5.32) [6], где не учитываются прочностные характеристики железобетонного фундамента.
![]()
Железобетонный фундамент рассчитывается на продавливание и предельный изгибающий момент, в результате чего подбирается рабочая высота плитной части фундамента и её армирование [7]. Следует отметить, что расчет по формуле (5.32) применяется довольно редко, а размеры центрально-нагруженного фундамента, в соответствии с действующими нормами, определяются в предположении равномерно распределенной эпюры нормальных контактных напряжений под подошвой фундамента, интенсивность которых не должна превышать расчетного сопротивления грунтов основания R.
Многочисленные лотковые эксперименты [8,9] показывают, что с ростом нагрузки на фундамент эпюра контактных давлений видоизменяется от вогнутой с наибольшими значениями под краями фундамента, похожей на эпюру упругого решения, до выпуклой с наибольшими значениями по оси нагрузки.
Нет нормативных документов, рассматривающих силовое взаимодействие железобетонного фундамента и грунтового основания. Не используется понятие несущей способности системы «железобетонный фундамент – грунтовое основание» и не учитывается экспериментально полученное распределение контактных напряжений под подошвой фундаментов.
Поиск предельной нагрузки для системы «железобетонный фундамент – грунтовое основание» возможен только в рамках модели теории идеальной пластичности, используемой непосредственно или в виде предельной поверхности текучести в моделях с упрочнением. Согласно предельному анализу пластических систем построение статически допустимых полей напряжений в грунтовом основании и железобетонном фундаменте порождает нижнюю оценку несущей способности системы «грунтовое основание – железобетонный фундамент». Таким образом, были получены оценки предельной нагрузки при разрушении железобетонного фундамента изгибом [10].
В дальнейшем из предположения, что втеле железобетонного фундамента статически допустимое поле напряжений существует, если максимальный изгибающий момент в плитной части фундамента не превышает предельного момента, а сдвигающие и растягивающие силы по поверхности призмы продавливания не превысят потенциальных удерживающих был доработан метод расчета несущей способности системы «грунтовое основание – железобетонный фундамент»[11].
Тестовые экспериментальные исследования в лотке машины МФ-1 показали [12], что разработанная методика расчета железобетонных фундаментов правильно оценивает экспериментальные значения предельной нагрузки.
В результате получился метод расчета системы «грунтовое основание – железобетонный фундамент», позволяющий при заданных геометрических размерах плитной и жесткой части прямоугольного фундамента, найти довольно точное значение предельной нагрузки, при рассчитанных оптимальном армировании и рабочей высоте плитной части.
Находим предельную нагрузку:

где прочностные характеристики грунта определяются в соответствии с условием прочности Кулона-Мора по следующим формулам:

Находим рабочую высоту плитной части:

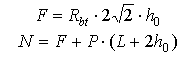
Найдем предельную силу продавливания N:

Найдем величину армирования, при которой сила N – предельная на изгиб:

Находим предельные изгибающие моменты:
![]()
Находим коэффициенты для системы уравнений:

Решаем систему уравнений:

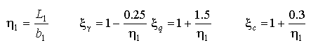
Вычисляем приведенные ширину и длину фундамента:
![]()
Вычисляем коэффициенты для формулы предельной нагрузки:

Вычисляем предельную нагрузку:
![]()
Методика совместного расчета фундамента и грунтового основания с учетом изгиба и продавливания позволяет более точно определить предельную нагрузку на фундамент, что можно использовать для уменьшения стоимости железобетонных фундаментов за счет экономии арматурных стержней, бетона и трудозатрат. Рассмотрев полученные результаты, можно сделать вывод, что предельная нагрузка для прямоугольного фундамента, полученная предложенным методом, более точно отражает нижнюю оценку несущей способности, чем нормативные методы.
Для определения области применения данной методики выполним расчет фундамента на различных типах грунтового основания и сведем данные в таблицу 1. Значения прочностных характеристик грунта: удельного сцепления сn и угла внутреннего трения φn приняты по приложению 1 «Нормативные значения прочностных и деформационных характеристик грунтов» СП [6].
Параметры фундамента:
Ширина плитной части фундамента (b): 1,7м;
Длина плитной части фундамента (L): 1,7м;
Ширина жесткой части фундамента (b1): 0,6м;
Длина жесткой части фундамента (L1): 0,6м;
Глубина заложения фундамента (d): 2,9м;
Расчетное сопротивление арматуры растяжению (Rs): 360000 кПа;
Удельный вес грунта выше подошвы фундамента (g0): 19,1 кН/м3;
Удельный вес грунта ниже подошвы фундамента (g0): 19,6 кН/м3;
Расчетное сопротивление бетона сжатию (Rb): 8500 кПа;
Расчетное сопротивление бетона растяжению (Rbt): 750 кПа;
Таблица 1
Значения предельной нагрузки
|
Тип грунта |
Прочностные характеристики грунтов: с, кПа; φ° |
Предельная нагрузка по усовершенствованному расчету, кН |
Предельная нагрузка по расчету СП 22.13330.2016, кН |
|
|
Глинистые нелессовые грунты |
Супеси |
cn = 21, φn = 30 |
3.246 х103 |
2.315 х 103 |
|
cn = 17, φn = 29 |
2.813 х 103 |
1.985 х 103 |
||
|
cn = 15, φn = 27 |
2.343х 103 |
1.570х 103 |
||
|
cn = 13, φn = 24 |
1.714 х 103 |
1.088 х 103 |
||
|
cn = 19, φn = 28 |
2.694 х 103 |
1.816 х 103 |
||
|
cn = 15, φn = 26 |
2.115 х 103 |
1.385 х 103 |
||
|
cn = 13, φn = 24 |
1.624 х 103 |
1.056 х 103 |
||
|
cn = 11, φn = 21 |
1.281 х 103 |
777.9 |
||
|
cn = 9, φn = 18 |
888.0 |
556.9 |
||
|
Суглинки |
cn = 47, φn = 26 |
4.042 х 103 |
2.358 х 103 |
|
|
cn = 37, φn = 25 |
3.29 х 103 |
1.836 х 103 |
||
|
cn = 31, φn = 24 |
2.859 х 103 |
1.554 х 103 |
||
|
cn = 25, φn = 23 |
2.412 х 103 |
1.291 х 103 |
||
|
cn = 22, φn = 22 |
2.083 х 103 |
1.114 х 103 |
||
|
cn = 19, φn = 20 |
1.643 х 103 |
849.0 |
||
|
cn = 39, φn = 24 |
3.252 х 103 |
1.761 х 103 |
||
|
cn = 34, φn = 23 |
2.879 х 103 |
1.51 х 103 |
||
|
cn = 28, φn = 22 |
2.45 х 103 |
1.251 х 103 |
||
|
cn = 23, φn = 21 |
2.006 х 103 |
1.032 х 103 |
||
|
cn = 18, φn = 19 |
1.510 х 103 |
772.2 |
||
|
cn = 15, φn = 17 |
1.204 х 103 |
607.6 |
||
|
cn = 25, φn = 19 |
1.881 х 103 |
902.5 |
||
|
cn = 20, φn = 18 |
1.536 х 103 |
750.5 |
||
|
cn = 16, φn = 16 |
1.171 х 103 |
567.7 |
||
|
cn = 14, φn = 14 |
2.437 х 103 |
453.8 |
||
|
cn = 12, φn = 12 |
1.608 х 103 |
579.2 |
||
|
Глины |
cn = 81, φn = 21 |
4.436 х 103 |
2.261 х 103 |
|
|
cn = 68, φn = 20 |
2.852 х 103 |
1.107 х 103 |
||
|
cn = 54, φn = 19 |
3.127 х 103 |
1.442 х 103 |
||
|
cn = 47, φn = 18 |
2.766 х 103 |
1.226 х 103 |
||
|
cn = 41, φn = 16 |
2.285 х 103 |
956.3 |
||
|
cn = 36, φn = 14 |
1.872 х 103 |
758.1 |
||
|
cn = 57, φn = 18 |
3.109 х 103 |
3.402 х 103 |
||
|
cn = 50, φn = 17 |
2.753 х 103 |
1.187 х 103 |
||
|
cn = 43, φn = 16 |
2.369 х 103 |
987.4 |
||
|
cn = 37, φn = 14 |
1.911 х 103 |
771.8 |
||
|
cn = 32, φn = 11 |
1.488 х 103 |
567.7 |
||
|
Песчаные грунты
|
Гравелистые и крупные |
cn = 2, φn = 43 |
6.369 х 103 |
9.191 х 103 |
|
cn = 1, φn = 40 |
4.053 х 103 |
5.172 х 103 |
||
|
cn = 0, φn = 38 |
3.349 х 103 |
4.050 х 103 |
||
|
Средней крупности |
cn = 3, φn = 40 |
3.356 х 103 |
4.344 х 103 |
|
|
cn = 2, φn = 32 |
3.616 х 103 |
4.195 х 103 |
||
|
cn = 1, φn = 35 |
2.477 х 103 |
2.549 х 103 |
||
|
Мелкие |
cn = 6, φn = 38 |
4.149 х 103 |
4.486 х 103 |
|
|
cn = 4, φn = 36 |
3.204 х 103 |
3.252 х 103 |
||
|
cn = 2, φn = 32 |
1.984 х 103 |
1.874 х 103 |
||
|
cn = 0, φn = 28 |
1.075 х 103 |
1.087 х 103 |
||
|
Пылеватые |
cn = 8, φn = 36 |
3.662 х 103 |
3.489 х 103 |
|
|
cn = 6, φn = 34 |
2.872 х 103 |
2.555 х 103 |
||
|
cn = 4, φn = 30 |
1.737 х 103 |
1.458 х 103 |
||
|
cn = 2, φn = 26 |
2.485 х 103 |
2.91 х 103 |
||
На основании данных таблицы 1 можно сделать вывод, что значения предельной нагрузки, полученные для песчаных грунтов по усовершенствованной методике, ниже значений полученных по формуле из СП, а для глинистых грунтов наоборот. Отсюда следует, что методика в том виде, как она представлена в статье ограничивается применением для песчаных грунтов.
1. Богомолов А.Н., Богомолова О.А., Вайнгольц А.И., Ермаков О.В. Сопоставление результатов расчета несущей способности двухслойного основания заглубленного ленточного фундамента различными способами // Вестник ПНИПУ. Строительство и архитектура. - 2014. - № 2. - С. 106-116.
2. Евтушенко С.И. Исследования несущей способности моделей фундаментов на песчаном основании// Строительство и архитектура. М. - 2018. - Т. 6, № 3. - С. 22-28. DOI:https://doi.org/10.29039/article_5bee8ab2477840.65600919.
3. Федоровский В.Г. Поправочный член к формуле Терцаги для расчета несущей способности оснований // Основания, фундаменты и механика грунтов.-2016.-№6.- с.2-5.
4. Мирсаяпов И.Т., Королева И.В. Расчет несущей способности и осадок оснований фундаментов при длительном действии статической нагрузки// Известия КГАСУ, Казань. - 2011. - № 3 (17). - С. 71-78.
5. Караулов А.М., Королев К.В., Кузнецов А.О. К оценке несущей способности грунтовых оснований // Основания, фундаменты и механика грунтов. -2022.-№2.- с.2-8.
6. СП 22.13330.2016. Основания зданий и сооружений. Актуализированная редакция СНиП 2.02.01-83*. М: Минстрой России, 2016.-220 c.
7. СП 63.13330.2012. Бетонные и железобетонные конструкции. Основные положения. Актуализированная редакция СНиП 52-01-2003.М: Минстрой России, 2012.
8. Мурзенко Ю.Н. Экспериментально-теоретические исследования силового взаимодействия фундаментов и песчаного основания. Дисс. докт. техн. наук. Новочеркасск. 1972.
9. Мурзенко Ю.Н., Евтушенко С.И. Экспериментальные исследования работы краевой зоны сборных фундаментов под отдельную колонну и сетку колонн на песчаном основании: монография.- Ростов н/Д. Изд-во журн. «Изв. вузов. Сев.-Кавк. регион», 2008.- 248 с.
10. Дыба В.П. Оценки несущей способности фундаментов. Монография.-Юж.-Рос.гос.техн.ун-т.-Новочеркасск: ЮРГТУ, 2008.- 202 c.
11. Дыба В.П., Матвиенко М.П. К расчету взаимодействия железобетонного фундамента с грунтовым основанием при предельной нагрузке // Вестник Пермского национального исследовательского политехнического университета. Строительство и архитектура. - 2017. - Т. 8, № 2. - С. 87-95. DOI:https://doi.org/10.15593/2224-9826/2017.2.08
12. Матвиенко М.П., Дыба В.П., Аль Екаби Хаки Хади Аббуд. Эксперимент по проверке новой методики расчета гибких железобетонных фундаментов по несущей способности // Изв. вузов. Сев.-Кавк. регион. Техн. науки. 2015. № 3. С.80-84.



